دسته بندی محصولات

Wait, don't go!
Before you leave, we have a special offer just for you!
Get 20% off your next purchase.

Before you leave, we have a special offer just for you!
Get 20% off your next purchase.

Pivot Table در اکسل اگر شما جزء اون دسته از کسانی باشید که زیاد با نرم…

تابع AVERAGEIF اکسل در این مطلب از آموزش اکسل میخوایم با تابع AVERAGEIF اکسل که…

تابع COUNTIF اکسل سلام. در این مطلب از آموزش های فرمول نویسی اکسل قراره با…

تابع sumif اکسل برای کسانی که با این نرم افزار به صورت جدی کار میکنند…

تابع Vlookup اکسل یکی از پرکاربردترین توابع این نرم افزار هست که آشنایی و استفاده…

آزمون مشاهدات جفت شده آزمون مشاهدات جفت شده حالت یک متغیره فرض کنید دو نمونه…

مقایسه میانگین دو بردار آزمون مقایسه دو نمونه با آزمون t در آماره تک متغیره…

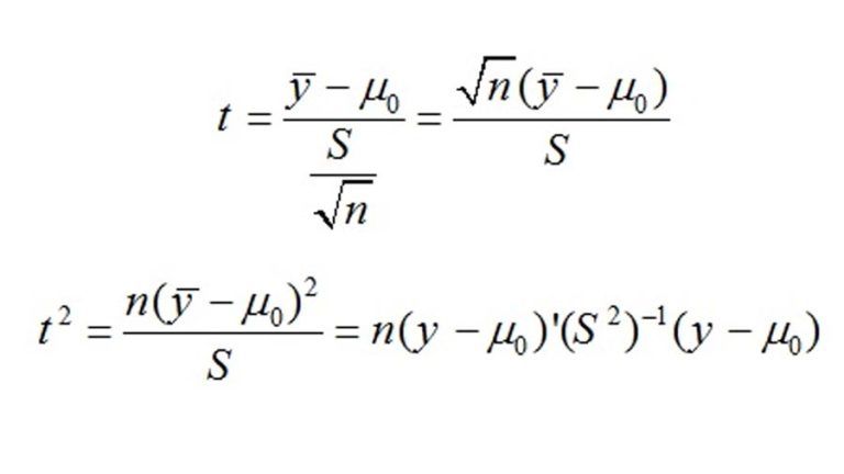
آزمون µ با ∑ نامعلوم در آزمون یک نمونه ای t فقط یک متغیر داریم…