روش qualiflex
روش QUALIFLEX یک روش تصمیمگیری چند معیاره (MCDM) است که برای حل مسائل پیچیده تصمیمگیری با معیارهای متعدد و متضاد طراحی شده است. این روش توسط ژان پلینک در سال 1975 معرفی شد و از آن زمان تاکنون بهبود یافته و در زمینههای مختلف مورد استفاده قرار گرفته است.

ایده اصلی روش QUALIFLEX رتبهبندی گزینهها بر اساس عملکرد آنها در معیارهای مختلف است. این کار با مقایسه جفتهای گزینهها و اختصاص درجههای ترجیح به آنها انجام میشود. این درجههای ترجیح سپس برای تعیین رتبهبندی کلی گزینهها جمع میشوند.
آنچه می خوانید
در این مقاله، به بررسی جامع این روش، مزایا و معایب آن، و نحوه پیادهسازی میپردازیم.
مقدمهای بر روش QUALIFLEX
روش qualiflex، روشی نوین و کارآمد برای تصمیم گیری چندمعیاره است که توسط ژان پلینک در سال 1975 معرفی شد و از آن زمان تاکنون بهبود یافته و در زمینههای مختلف مورد استفاده قرار گرفته است. این روش که ریشه در روش جایگشت دارد با تلفیق ایده های خلاقانه و تحلیل های عمیق، به شما کمک می کند تا بهترین انتخاب را از میان گزینه های متعدد انجام دهید.
در QUALIFLEX، هر رتبه بندی احتمالی m جایگزین موجود ارزیابی می شود. به عبارت دیگر، رتبه بندی جایگزین ها به تعداد !m جایگشت ارزیابی می شود و در نهایت مناسب ترین ها برای رتبه بندی نهایی انتخاب می شوند. همچنین، فرض میشود که ماتریس تصمیم |D =|fij واضح است و وزنهای wj برای ویژگیهای موجود توسط یکی از الگوریتمهای پیشنهادی مانند آنتروپی محاسبه میشوند
روش QUALIFLEX دارای ویژگی های زیر است:
- این تکنیک، مشابه روش جایگشت، در مرز روش های جبرانی و غیر جبرانی قرار دارد.
- ویژگی ها باید مستقل باشند.
- نیازی به تبدیل صفات کیفی به صفات کمی نیست.
مزایای روش qualiflex
روش qualiflex از مزایای متعددی برخوردار است که آن را به روشی ایده آل برای تصمیم گیری های پیچیده تبدیل می کند. برخی از این مزایا عبارتند از:
- تطبیق پذیری با شرایط مختلف: این روش با توجه به شرایط خاص هر مسئله قابل انطباق و شخصی سازی است.
- قابلیت انعطاف پذیری: این روش برای حل طیف گسترده ای از مسائل تصمیم گیری چندمعیاره قابل استفاده است.
- سادگی اجرا: مراحل اجرای این روش به طور واضح و گام به گام ارائه شده است، به طوری که افراد با دانش فنی محدود نیز می توانند به راحتی از آن استفاده کنند.
کاربردهای روش qualiflex
روش qualiflex کاربردهای گسترده ای در زمینه های مختلف دارد. برخی از این کاربردها عبارتند از:
- انتخاب کالا: با استفاده از این روش می توان بهترین کالا را با توجه به معیارهایی مانند قیمت، کیفیت، برند، و … انتخاب کرد.
- انتخاب شغل: با استفاده از این روش می توان بهترین شغل را با توجه به معیارهایی مانند حقوق، مزایا، محیط کار، فرصت های پیشرفت و … انتخاب کرد.
- انتخاب محل زندگی: با استفاده از این روش می توان بهترین محل زندگی را با توجه به معیارهایی مانند آب و هوا، دسترسی به امکانات رفاهی، امنیت، هزینه مسکن و … انتخاب کرد.
- انتخاب سرمایه گذاری: با استفاده از این روش می توان بهترین گزینه برای سرمایه گذاری را با توجه به معیارهایی مانند نرخ سود، ریسک، نقدینگی و … انتخاب کرد.
مقایسه روش qualiflex با سایر روش های تصمیم گیری
روش qualiflex در مقایسه با سایر روش های تصمیم گیری چندمعیاره، از مزایای متعددی برخوردار است. برخی از این مزایا عبارتند از:
- قابلیت انعطاف پذیری: این روش برای حل طیف گسترده ای از مسائل تصمیم گیری چندمعیاره قابل استفاده است، در حالی که برخی از روش های دیگر محدودیت های خاص خود را دارند.
- سادگی اجرا: مراحل اجرای این روش به طور واضح و گام به گام ارائه شده است، در حالی که برخی از روش های دیگر پیچیده تر بوده و نیاز به دانش فنی بیشتری دارند.
- تطبیق پذیری با شرایط مختلف: این روش با توجه به شرایط خاص هر مسئله قابل انطباق و شخصی سازی است، در حالی که برخی از روش های دیگر برای همه شرایط مناسب نیستند.
معایب روش QUALIFLEX
- محاسبات نسبتاً پیچیده: محاسبه درجههای ترجیح میتواند در مقایسه با برخی از روشهای دیگر MCDM پیچیدهتر باشد.
- حساسیت به وزن معیارها: رتبهبندی نهایی گزینهها میتواند به طور قابل توجهی به وزنهای اختصاص داده شده به معیارها بستگی داشته باشد.
گامهای روش QUALIFLEX
گام اول جایگشت اولیه گزینه های جایگزین: جایگشت های ممکن از m جایگزین موجود تشکیل شده اند، برای مثال، اگر m = 3; در نتیجه، m! = 3! = 6. بنابراین، با فرض سه جایگزین جایگشت، گزینه ها به عنوان مجموعه معادله زیر هستند.

گام دوم رتبه بندی اولیه گزینه های جایگزین: در این مرحله، ماتریس تصمیم ارائه شده توسط تصمیم گیرنده، بر اساس نقاط قوت رتبه بندی می شود. عدد 1 به گزینه ای داده می شود که از بقیه در یک ویژگی بهتر است و سایر گزینه ها به طور مشابه رتبه بندی می شوند.
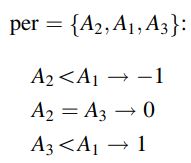
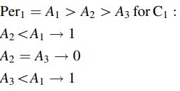
گام سوم مقادیر غالب و غالب: اگر جایگشت با مقادیر رتبه بندی مطابقت داشته باشد، مقدار 1 است و اگر مطابقت نداشته باشد، مقدار -1 است. وقتی دو گزینه در یک ویژگی یکسان هستند، مقدار 0 تخصیص می یابد. به عنوان مثال، فرض می شود که مقادیر معادله زیر برای قرار گرفتن در جایگشت فرضی و رتبه بندی گزینه ها A1>A2=A3 هستند.

در معادله بالا، جایگشت برابر با A2>A1 است، اما رتبه بندی گزینه ها A2<A1 است، و از آنجایی که این مقدار با رتبه بندی ویژگی ها مطابقت ندارد، مقدار 1- می شود. علاوه بر این، جایگشت برابر با A2 = A3 است و مقدار صفر می شود. در نهایت، جایگشت برابر با A3<A1 است. اما رتبه بندی گزینه ها A3<A1 است که با یکدیگر مطابقت دارند و مقدار آن 1 می شود.
گام چهارم مقادیر جایگشت ویژگی ها: مقادیر محاسبه شده در مرحله قبل با هم تجمیع شده و برای همه جایگشت ها و ویژگی ها به طور جداگانه محاسبه می شوند.
گام پنجم مقادیر جایگشت گزینه های جایگزین: مقدار جایگشت هر شاخص در وزن آن ضرب می شود و با هم تجمیع می شود و به عنوان مقدار جایگشت معرفی می شود.
گام ششم رتبه بندی نهایی گزینه ها: پس از تعیین مقادیر جایگشت گزینه ها، جایگزینی که بالاترین مقدار جایگشت را دارد بهترین جایگزین را نشان می دهد.
مثال روش QUALIFLEX
یک پالایشگاه قصد دارد یک بونکر گاز مایع (LPG) بخرد. یک بونکر LPG باید از بین سه مدل (A1، A2 و A3) خریداری شود. ویژگی هایی مانند قیمت (C1)، فشار کاری (C2) و ظرفیت (C3) برای تصمیم گیری در نظر گرفته می شوند.
ماتریس تصمیم در شکل زیر نشان داده شده است. وزن صفات برابر در نظر گرفته می شود. بهتر است بهترین مدل بونکر گاز مایع انتخاب شود و جایگزین ها به روش QUALIFLEX رتبه بندی شوند.

1) جایگشت اولیه گزینه ها: شش جایگشت برای سه جایگزین به شرح زیر وجود دارد:

2) رتبه بندی اولیه گزینه ها: در اینجا اولین ویژگی منفی است. به عبارت دیگر، تعداد کمتر منجر به یک ویژگی بهتر می شود. علاوه بر این، دو ویژگی دیگر مثبت هستند، یعنی هر چه بالاتر، بهتر است. بنابراین، رتبه بندی گزینه ها بر اساس ویژگی هایی است که در شکل زیر نشان داده شده است.

3) مقادیر غالب و غالب: به عنوان مثال، مقادیر غالب و غالب برای جایگشت اول به دست می آیند:

بر این اساس، مقادیر برای سایر ویژگی ها به دست می آیند.
4) مقادیر جایگشت ویژگی ها: تصویر زیر مقادیر جایگشت ویژگی ها را نشان می دهد.

5) مقادیر جایگشت جایگزین ها: مقادیر جایگشت جایگزین ها به شرح زیر است:

6) رتبه بندی نهایی گزینه ها: با توجه به جایگشت های جایگزین ها، جایگشت های 1 و 6 انتخاب می شوند:

در نتیجه اولین مدل پناهگاه LPG (A1) به عنوان بهترین جایگزین انتخاب شد.
نتیجه گیری
پائلینک می تواند روش QUALIFLEX را به عنوان یکی از تکنیک های دقیق رتبه بندی گزینه ها با استفاده از روش جایگشت ارائه دهد. با توجه به ویژگی های مستقل و جبرانی این تکنیک، به دلیل استفاده از ویژگی غالب و غالب گزینه ها بر اساس ویژگی ها، جایگشت صفات تعیین می شود. بر این اساس، میتوان ایدهآلترین جایگزین را پیدا کرد و در واقع این فرآیند، روش QUALIFLEX را نسبت به سایر روشها متمایز کرده است.
سوالات متداول در مورد روش QUALIFLEX
چه کسانی می توانند از روش qualiflex استفاده کنند؟
هر کسی که با تصمیمات چندمعیاره روبرو است می تواند از روش qualiflex استفاده کند. این روش برای افراد با دانش فنی محدود و همچنین متخصصان مناسب است.
روش QUALIFLEX برای چه نوع مشکلاتی مناسب است؟
روش QUALIFLEX برای حل مسائل تصمیمگیری پیچیده با معیارهای متعدد و متضاد مناسب است. این روش میتواند در زمینههای مختلفی مانند انتخاب پروژه، انتخاب تامینکننده، انتخاب مکان، و مدیریت منابع انسانی به کار گرفته شود.
مزایای روش QUALIFLEX چیست؟
انعطافپذیری: QUALIFLEX میتواند با معیارهای کمی و کیفی کار کند.u003cbru003eسادگی: این روش نسبتاً ساده برای درک و استفاده است.u003cbru003eجامعیت: تمام مقایسههای جفتی گزینهها را در نظر میگیرد و تحلیل جامعی ارائه میدهد.
معایب روش QUALIFLEX چیست؟
محاسبات نسبتاً پیچیده: محاسبه درجههای ترجیح میتواند در مقایسه با برخی از روشهای دیگر MCDM پیچیدهتر باشد.u003cbru003eحساسیت به وزن معیارها: رتبهبندی نهایی گزینهها میتواند به طور قابل توجهی به وزنهای اختصاص داده شده به معیارها بستگی داشته باشد.
