روش تحلیل رابطه خاکستری فازی
روش تحلیل رابطه خاکستری فازی
روش های تصمیم گیری چند معیاره (MCDM) از فنون پر کاربرد مدیریت و مهندسی صنایع هستند که به دو بخش تصمیم گیری چند شاخصه و تصمیم گیری چند هدفه تقسیم می شوند.
تحلیل رابطه خاکستری (GRA) در زمره روشهای تصمیم گیری چند شاخصه قرار دارد. هدف این روش رتبه بندی آلترناتیو های پژوهش است.
در این تکنیک فرض بر این است که در مساله پژوهش تعدادی شاخص از نوع مثبت، منفی وجود دارند که اهمیت این شاخص ها نیز توسط خبرگان و یا روش های دیگر محاسبه شده است همچنین در طرف دیگر مساله تعدادی گزینه وجود دارد که قرار است با در نظر گرفتن این شاخص ها رتبه بندی شوند.
روش تحلیل رابطه خاکستری فازی
تحلیل رابطه اي خاکستري در سال 1982 توسط «دنگ» معرفی شد. کارآمدي این روش در مواجهه با عدم قطعیت و اطلاعات ناکافی اثبات شده است.تحلیل رابطه اي خاکستري نیز به عنوان روشی براي حل مسائل مختلف تصمیم گیري چند شاخصه تاکنون در حوزه هاي متعدد تخصصی و عمومی مدیریت به کار گرفته شده است.
روش تحلیل رابطه خاکستری فازی روش تحلیل رابطه خاکستری فازی روش تحلیل رابطه خاکستری فازی
یکی از مزایاي تحلیل رابطه اي خاکستري در مقایسه با سایر روش هاي تصمیم گیري چند شاخصه این است که محدودیتی در مورد حجم نمونه و نرمال بودن توزیع داده ها وجود ندارد و علاوه بر آن شیوه محاسباتی آن نیز آسان است.
بکارگیري تئوري فازي مستلزم تشخیص تابع عضویت مربوطه بر اساس تجربه خبرگان است. اما تئوري خاکستري بدون در نظر داشتن تابع عضویت و بر اساس محدوده اطلاعات در دسترس نیز به خوبی عمل می نماید.
پیاده سازی این تکنیک در محیط فازی باعث دقت در نتایج و حذف عدم قطعیت های مساله تصمیم گیری می شود.
روش تجزیه و تحلیل رابطه خاکستری رویکرد مجموعه فازی به شرح زیر است.
مرحله 1
فرض کنید یک گروه تصمیم گیری دارای افراد K باشد. بنابراین ، اهمیت معیارها و رتبه بندی گزینه های جایگزین با توجه به هر معیار به صورت زیر محاسبه می شود:

مسئله فازی را می توان به صورت مختصر در قالب یک ماتریس بیان کرد و xij و wj متغیرهای زبانی هستند که می توانند با اعداد فازی مثلثی توصیف به صورت زیر توصیف شوند:

مرحله 2:
ماتریس تصمیم گیری فازی نرمال (عادی) همانطور که توسط R مشخص شده است بدست می آید:

روش تحلیل رابطه خاکستری فازی روش تحلیل رابطه خاکستری فازی روش تحلیل رابطه خاکستری فازی
مرحله 3:
ماتریس تصمیم گیری فازی دارای وزنی عادی با توجه به اهمیت متفاوت هر معیار می تواند در معادله زیر استفاده شود.

مرحله 4:
تعریف (FPIS1، Y +) و (FNIS2، Y-) به شرح زیر:

مرحله 5:
محاسبه ضریب رابطه خاکستری فازی هر یک از گزینه های FPIS و FNIS با استفاده از معادله زیر. در جایی که ضریب شناسایی p = 0.5 است.

مرحله 6:
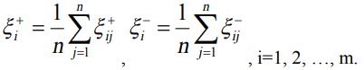
با استفاده از FPIS و FNIS می توانید معادله زیر را برای تعیین میزان ضریب رابطه خاکستری فازی برای هر گزینه جایگزین کنید.

مرحله 7:
محاسبه درجه رابطه نسبی فازی هر جایگزین از FPIS با استفاده از معادله زیر.

مرحله 8:
با توجه به درجه رابطه نسبی فازی ، می توان ترتیب رتبه بندی همه گزینه ها را تعیین کرد. اگر هر جایگزین بالاترین مقدار Ci را داشته باشد ، مهمترین جایگزین است.
مثال تحلیل رابطه خاکستری فازی
این مثال از مقاله Using the Fuzzy Grey Relational Analysis Method in Wastewater Treatment Process Selection استخراج شده است.
مرحله 1: تبدیل ارزیابی زبانی به اعداد فازی مثلثی برای ساخت ماتریس تصمیم گیری فازی x و تعیین وزن فازی هر معیار به عنوان ماتریس w.

ساخت ماتریس تصمیم گیری فازی عادی به عنوان R

ساخت ماتریس تصمیم گیری عادی وزنی عادی به عنوان y

تعیین FPIS و FNIS به عنوان:

محاسبه ضریب رابطه خاکستری فازی هر یک از گزینه های FPIS و FNIS به شرح زیر است. در جایی ، ضریب شناسایی ρ = 0.5.

میزان خروجی ضریب رابطه خاکستری فازی از هر گزینه:

محاسبه درجه رابطه نسبی فازی هر جایگزین از FPIS با استفاده از معادله زیر.

