روش SIR
در دنیای پیچیده امروز، تصمیمگیریهای مهم اغلب با چالشهای متعددی روبرو هستند. وجود گزینههای متعدد و معیارهای مختلف، فرایند تصمیمگیری را پیچیدهتر میکند. در چنین شرایطی، استفاده از روشهای علمی و ساختاریافته برای انتخاب بهترین گزینه، امری ضروری است. یکی از این روشها، روش SIR در تصمیمگیری چند معیاره است که با رویکردی ساده و کارآمد، به رتبهبندی گزینهها میپردازد.
روش SIR، مخفف Superiority and Inferiority Ranking، روشی نوین در حوزه تصمیمگیری چند معیاره است که بر اساس مفهوم برتری و فرودستی گزینهها نسبت به یکدیگر عمل میکند. این روش به تصمیمگیرندگان کمک میکند تا با در نظر گرفتن تمام معیارهای مهم، بهترین گزینه را از میان گزینههای موجود انتخاب کنند. در واقع، روشـ SIR با ارائه یک چارچوب منطقی و ساختاریافته، به تصمیمگیرندگان این امکان را میدهد تا به صورت عینی و کمی، گزینهها را مقایسه کرده و به نتیجهای دقیقتر دست یابند.

در این مقاله، قصد داریم به طور جامع به بررسی روش SIR بپردازیم. از اصول اولیه این روش تا کاربردهای آن در مسائل مختلف، همه و همه در این مقاله مورد بررسی قرار خواهند گرفت. با ما همراه باشید تا با این روش قدرتمند بیشتر آشنا شوید و بتوانید از آن در تصمیمگیریهای خود بهرهمند شوید.
آنچه می خوانید
روش SIR چیست؟
روش SIR (Superiority and Inferiority Ranking) به عنوان یکی از روشهای نوین تصمیمگیری چند معیاره، در سال 1993 توسط ربای معرفی شد. این روش با هدف ارائه یک روش ساده و در عین حال کارآمد برای رتبهبندی گزینهها در شرایطی که چندین معیار تصمیمگیری وجود دارد، توسعه یافت.
روشـ SIR، یک روش رتبهبندی گزینهها است که بر اساس مفهوم برتری و فرودستی گزینهها نسبت به یکدیگر عمل میکند. در این روش، به هر گزینه یک امتیاز برتری و یک امتیاز فرودستی اختصاص داده میشود. امتیاز برتری نشان میدهد که یک گزینه نسبت به چند گزینه دیگر برتری دارد و امتیاز فرودستی نشان میدهد که چند گزینه نسبت به یک گزینه خاص برتری دارند. با مقایسه این امتیازات، میتوان گزینهها را رتبهبندی کرد.
یکی از ویژگیهای مهم روشـ SIR، سادگی و قابل فهم بودن آن است. در این روش، نیازی به محاسبات پیچیده آماری نیست و تصمیمگیرندگان با استفاده از قضاوت شخصی خود میتوانند گزینهها را مقایسه کنند. همچنین، روش SIR به اطلاعات کمی نیاز دارد و میتواند برای مسائل با تعداد زیاد گزینه و معیار به کار رود.
مزایای استفاده از روش SIR
روش SIR تصمیمگیری چند معیاره به دلیل سادگی، انعطافپذیری و قابلیت درک آسان، مزایای بسیاری دارد:
- سادگی و سهولت استفاده: این روش به دانش آماری پیچیده نیاز ندارد و با استفاده از قضاوتهای کیفی تصمیمگیرنده، به راحتی قابل اجرا است.
- انعطافپذیری بالا: روشـ SIR برای مسائل مختلف با تعداد زیاد گزینه و معیار قابل استفاده است و به راحتی قابل تطبیق با شرایط مختلف تصمیمگیری است.
- در نظر گرفتن قضاوت تصمیمگیرنده: این روش به قضاوت و تجربه تصمیمگیرنده در مورد اهمیت نسبی معیارها و برتری یا فرودستی گزینهها توجه میکند.
- ارائه نتایج دقیق و قابل اعتماد: با استفاده از روشـ SIR، میتوان به نتایج دقیق و قابل اعتمادی در مورد رتبهبندی گزینهها دست یافت.
محدودیتهای روش SIR
با وجود مزایای فراوان، روش SIR نیز مانند سایر روشهای تصمیمگیری چند معیاره، دارای محدودیتهایی است:
- وابستگی به قضاوت تصمیمگیرنده: نتایج روشـ SIR به طور مستقیم به قضاوت و تجربه تصمیمگیرنده بستگی دارد و ممکن است برای تصمیمگیرندگان مختلف نتایج متفاوتی به دست دهد.
- عدم در نظر گرفتن عدم قطعیت: این روش عدم قطعیت موجود در دادهها را در نظر نمیگیرد و فرض میکند که همه اطلاعات با قطعیت کامل در دسترس هستند.
- پیچیدگی محاسبات برای مسائل بزرگ: برای مسائل با تعداد بسیار زیاد گزینه و معیار، محاسبات روشـ SIR میتواند پیچیده باشد.
مقایسه روش SIR با سایر روشهای تصمیمگیری چند معیاره
روش SIR (Superiority and Inferiority Ranking) یکی از روشهای نوین در حوزه تصمیمگیری چند معیاره است که بر اساس مفهوم برتری و فرودستی گزینهها نسبت به یکدیگر عمل میکند. این روش در کنار مزایای فراوانی که دارد، با سایر روشهای تصمیمگیری چند معیاره نیز قابل مقایسه است. در ادامه به مقایسه روش SIR با برخی از روشهای پرکاربرد دیگر میپردازیم:
مقایسه روشـ SIR با AHP
- AHP (Analytic Hierarchy Process): بر اساس مقایسه زوجی عناصر در سلسله مراتب تصمیمگیری عمل میکند و وزنهای نسبی برای معیارها و گزینهها تعیین میکند.
- مقایسه: SIR از نظر محاسبات سادهتر از AHP است و به مقایسههای زوجی محدود نمیشود. اما AHP در نمایش سلسله مراتب تصمیمگیری قویتر است.
مقایسه روشـ SIR با TOPSIS
- TOPSIS (Technique for Order Preference by Similarity to Ideal Solution): بر اساس فاصله گزینهها از راهحل ایدهآل و راهحل ضد ایدهآل، گزینهها را رتبهبندی میکند.
- مقایسه: SIR بر اساس مفهوم برتری و فرودستی عمل میکند در حالی که TOPSIS بر اساس فاصله از راهحل ایدهآل عمل میکند. TOPSIS به محاسبات بیشتری نیاز دارد اما در برخی موارد میتواند نتایج دقیقتری ارائه دهد.
مقایسه روشـ SIR با ELECTRE
- ELECTRE (Elimination and Choice Expressing Reality): بر اساس مفهوم تسلط و آستانههای تصمیمگیری، گزینهها را رتبهبندی میکند.
- مقایسه: SIR و ELECTRE هر دو از مفهوم برتری و فرودستی استفاده میکنند اما ELECTRE با استفاده از آستانهها، انعطافپذیری بیشتری را فراهم میکند.
مقایسه روش SIR با PROMETHEE
- PROMETHEE (Preference Ranking Organization Method for Enrichment Evaluations): بر اساس مقایسه زوجی گزینهها و تعریف توابع ترجیح، گزینهها را رتبهبندی میکند.
- مقایسه: SIR و PROMETHEE شباهتهای زیادی دارند. هر دو بر اساس مقایسه زوجی گزینهها عمل میکنند اما PROMETHEE با استفاده از توابع ترجیح، انعطافپذیری بیشتری را فراهم میکند.
جدول مقایسه خلاصه
| ویژگی | SIR | AHP | TOPSIS | ELECTRE | PROMETHEE |
|---|---|---|---|---|---|
| سادگی | بالا | متوسط | متوسط | متوسط | متوسط |
| انعطافپذیری | متوسط | بالا | متوسط | بالا | بالا |
| محاسبات | ساده | متوسط | متوسط | متوسط | متوسط |
| مفهوم اصلی | برتری و فرودستی | مقایسه زوجی در سلسله مراتب | فاصله از راهحل ایدهآل | تسلط و آستانهها | مقایسه زوجی و توابع ترجیح |
کاربردهای روش SIR در دنیای واقعی
روش SIR (Superiority and Inferiority Ranking) به عنوان یکی از روشهای قدرتمند در تصمیمگیری چند معیاره، کاربردهای گستردهای در دنیای واقعی دارد. این روش با توجه به سادگی و کارایی آن، برای حل مسائل پیچیده تصمیمگیری در حوزههای مختلف مورد استفاده قرار میگیرد. در ادامه به برخی از کاربردهای مهم روشـ SIR اشاره میکنیم:
حوزههای کاربرد روش SIR
- انتخاب تامینکننده:
- یکی از کاربردهای اولیه و پرکاربرد روشـ SIR، انتخاب بهترین تامینکننده از میان چندین گزینه است. با استفاده از این روش میتوان معیارهای مختلفی مانند قیمت، کیفیت، زمان تحویل و … را در نظر گرفته و بهترین گزینه را انتخاب کرد.
- انتخاب پروژه سرمایهگذاری:
- روش SIR برای ارزیابی و انتخاب پروژههای سرمایهگذاری با توجه به معیارهای مالی، فنی، اقتصادی و اجتماعی نیز مورد استفاده قرار میگیرد.
- انتخاب محل احداث کارخانه:
- در حوزه مکانیابی صنعتی، روشـ SIR برای انتخاب بهترین مکان برای احداث کارخانه با در نظر گرفتن معیارهایی مانند دسترسی به منابع، هزینه زمین، نیروی کار و … به کار میرود.
- تصمیمگیریهای استراتژیک:
- روش SIR در سطح کلان سازمانها برای تصمیمگیریهای استراتژیک مانند انتخاب استراتژی کسبوکار، ورود به بازار جدید و … مورد استفاده قرار میگیرد.
- ارزیابی عملکرد:
- این روش برای ارزیابی عملکرد کارکنان، پروژهها و یا حتی واحدهای مختلف یک سازمان میتواند مورد استفاده قرار گیرد.
- انتخاب فناوری:
- در انتخاب فناوریهای جدید برای سازمانها، روشـ SIR میتواند به عنوان یک ابزار مفید برای مقایسه گزینههای مختلف و انتخاب بهترین گزینه مورد استفاده قرار گیرد.
- مدیریت ریسک:
- در ارزیابی ریسکهای مختلف، روشـ SIR میتواند به شناسایی و اولویتبندی ریسکها کمک کند.

انتخاب بهترین نرمافزار برای اجرای روش SIR
انتخاب نرمافزار مناسب برای اجرای روشـ SIR، بستگی به عوامل مختلفی از جمله پیچیدگی مسئله، تعداد گزینهها و معیارها، قابلیتهای مورد نیاز و بودجه شما دارد. خوشبختانه، نرمافزارهای مختلفی برای این منظور در دسترس هستند که هر یک ویژگیها و مزایای خاص خود را دارند.
انواع نرمافزارهای مناسب برای اجرای روش SIR
- نرمافزارهای تخصصی تصمیمگیری چند معیاره:
- این نرمافزارها به طور خاص برای حل مسائل تصمیمگیری چند معیاره طراحی شدهاند و معمولاً قابلیت اجرای روشهای مختلف از جمله SIR را دارند. برخی از معروفترین این نرمافزارها عبارتند از:
- Expert Choice: یکی از نرمافزارهای پرکاربرد در حوزه AHP است که قابلیت اجرای روشـ SIR را نیز دارد.
- Super Decisions: نرمافزاری جامع برای مدلسازی تصمیمگیری است که از روشهای مختلفی از جمله SIR پشتیبانی میکند.
- CPLEX: یک نرمافزار قدرتمند برای حل مسائل بهینهسازی است که میتواند برای اجرای روشـ SIR در مسائل پیچیده مورد استفاده قرار گیرد.
- این نرمافزارها به طور خاص برای حل مسائل تصمیمگیری چند معیاره طراحی شدهاند و معمولاً قابلیت اجرای روشهای مختلف از جمله SIR را دارند. برخی از معروفترین این نرمافزارها عبارتند از:
- نرمافزارهای صفحه گسترده (مانند اکسل):
- با استفاده از توابع و ماکروهای موجود در اکسل میتوان مدلهای ساده SIR را پیادهسازی کرد. این روش برای مسائل کوچک و متوسط مناسب است.
- نرمافزارهای برنامهنویسی (مانند MATLAB، Python):
- برای مسائل پیچیده و سفارشیسازی مدلها، میتوان از زبانهای برنامهنویسی مانند MATLAB و Python استفاده کرد. این زبانها انعطافپذیری بالایی را برای پیادهسازی الگوریتمهای مختلف فراهم میکنند.
مراحل اجرای روش SIR
1) مقایسه گزینه های جایگزین: با در نظر گرفتن ماتریس تصمیم زیر ابتدا، گزینه ها در ماتریس تصمیم بر اساس ویژگی ها مقایسه می شوند و تابعی مانند d = C(A1) – C(A2) معرفی می شود که نشان می دهد مقدار d برابر است با اختلاف جایگزین A1 و A2 در ویژگی C. این کار به طور مشابه برای همه گزینه ها محاسبه می شود.

علاوه بر این، تابع P(A1,A2) = f(C(A1) – C(A2)) = f(d) تعریف می شود. قابل ذکر است که این مقدار برای صفات مثبت (هرچه بیشتر بهتر) است و برای صفات منفی باید معکوس این مقدار محاسبه شود.
2) تابع ترجیحی: ابتدا باید نوع تابع برای تعیین مقادیر تابع ترجیحی مشخص شود. بنابراین، نوع هر تابع با توجه به نوع هر صفت ارزیابی شده از طریق تصاویر زیر تعیین می شود.



3) شاخص های (S) و (I) و ماتریس های (S) و (I): شاخص (S) و شاخص (I) به صورت تعیین می شود.

اگر این شاخص ها برای همه عناصر ماتریس تصمیم گیری (D) محاسبه شود، ماتریس های (S) و (I) به دست می آیند.

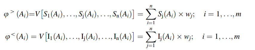
4) ماتریس جریان: در این مرحله از ماتریس های (S) و (I) استفاده می شود و ماتریس جریان شبیه به روش های SAW و TOPSIS به عنوان وزن های معرفی شده برای اهمیت صفت تشکیل می شود و به صورت خطی در مقادیر ماتریس (S) ضرب می شود. نتیجه در ماتریس جریان قرار می گیرد. همین کار برای ماتریس (I) انجام می شود. بنابراین، تکنیک حل به صورت معادله های زیر است.

5) محاسبه جریان (n) و (r): جریان n و جریان r به صورت معادله های زیر تعیین می شود.

6) رتبه بندی نهایی گزینه های جایگزین (روش SIR-SAW): روش SIR-SAW دو مرحله دارد. در ابتدا مقادیر s-flow که همان مقادیر u> (Ai) هستند به ترتیب نزولی رتبه بندی می شوند. یعنی جایگزین با کمترین مقدار u> (Ai) بهترین جایگزین است.
در مرحله بعد مقادیر I-flow که مقادیر u<(Ai) هستند به ترتیب صعودی رتبه بندی می شوند. بهترین جایگزین با در نظر گرفتن سهم دو دسته رتبه بندی انتخاب می شود که به آن روش رتبه بندی نسبی می گویند.
7) رتبه بندی نهایی گزینه های جایگزین (روش SIR-PROMETHEE I): در روش SIR-PROMETHEE I، مقادیر جریان n محاسبه شده و سپس به ترتیب نزولی رتبه بندی می شوند. یعنی جایگزین با کمترین مقدار جریان n بهترین جایگزین است و به عنوان تکنیک رتبه بندی کامل در نظر گرفته می شود.
8) رتبه بندی نهایی گزینه های جایگزین (روش SIR-PROMETHEE II): در روش SIR-PROMETHEE II مقادیر جریان r به ترتیب نزولی محاسبه و رتبه بندی می شوند. یعنی جایگزینی با کمترین مقدار جریان r بهترین جایگزین است. همچنین، این یک تکنیک رتبه بندی کامل است.
مثال روش SIR
کارشناسان شش پروژه برای ساخت نیروگاه برق آبی پیشنهاد کرده اند. ویژگی های تصمیم گیری شامل حجم نیروی کار (C1)، ظرفیت تولید برق (C2)، هزینه ساخت و ساز (C3)، هزینه تعمیر و نگهداری (C4)، اثرات مخرب زیست محیطی (C5) و سطح امنیت (C6) است. واحد تحقیق و توسعه پس از برگزاری جلسات متوالی، ویژگی های کیفی را به ویژگی های کمی تبدیل کرده و ماتریس زیر را جهت تصمیم گیری به هیئت مدیره ارائه می کند.

علاوه بر این، وزن ویژگی ها برابر است و جدول زیر نوع و مقادیر پارامترهای تابع ترجیحی را نشان می دهد.

انتخاب مناسب ترین پروژه برای احداث نیروگاه برق آبی به روشـ SIR مطلوب است.
1) مقایسه گزینه ها: از آنجایی که ویژگی C1 منفی است، برای محاسبه d باید به صورت متقارن تفریق کرد:

2) تابع ترجیح: ویژگی C1 متعلق به نوع سوم است و l = 10 در نظر گرفته می شود که:

3) شاخص های (S) و (I) و ماتریس های (S) و (I): اگر تکنیک مشابهی برای همه عناصر ماتریس تصمیم استفاده شود، ماتریس (S) به صورت زیر است:

4) ماتریس جریان: در ابتدا مقادیر u>(A) و سپس مقادیر u< (A) به صورت زیر بدست می آید:

5) جریان های (n) و (r): مقدار جریان n و مقدار جریان r به صورت زیر محاسبه می شود.

6) رتبه بندی نهایی جایگزین ها (روش SIR-PROMETHEE I):جریان n به ترتیب نزولی رتبه بندی می شود و اولین پروژه (A1) انتخاب می شود:
Rank: A5>A4>A2>A6>A3>A1
7) رتبه بندی نهایی جایگزین ها (روش SIR-PROMETHEE II): جریان r به ترتیب نزولی رتبه بندی می شود و اولین پروژه (A1) به صورت زیر انتخاب می شود:
Rank: A5> A4>A2>A6>A3>A1
آینده روش SIR تصمیمگیری چند معیاره
با توجه به مزایای فراوان روشـ SIR، انتظار میرود که در آینده کاربرد این روش گسترش یابد. با پیشرفت تکنولوژی و توسعه نرمافزارهای تخصصی، روش SIR به ابزاری قدرتمند برای تصمیمگیری در سازمانها و صنایع مختلف تبدیل خواهد شد.
نتیجهگیری
روش SIR تصمیمگیری چند معیاره، یک روش کارآمد و ساده برای رتبهبندی گزینهها است. این روش با توجه به مزایای فراوان خود، میتواند در بسیاری از مسائل تصمیمگیری به کمک تصمیمگیرندگان بیاید. با این حال، این روش نیز مانند سایر روشها دارای محدودیتهایی است و انتخاب بهترین روش به ماهیت مسئله و ترجیحات تصمیمگیرنده بستگی دارد.
برای مشاوره در مورد انتخاب روش مناسب برای تصمیمگیری در یک مسئله خاص، میتوانید با متخصصان در زمینه MCDM مشورت کنید.
- برای کسب اطلاعات بیشتر در مورد روشـ SIR، میتوانید به منابع علمی و تخصصی مراجعه کنید.
- برای اجرای روش SIR، میتوانید از نرمافزارهای تخصصی موجود استفاده کنید.
- قبل از استفاده از روش SIR، مزایا و محدودیتهای آن را به دقت بررسی کنید.
سوالات متداول در مورد روش SIR
تفاوت بین روش SIR و سایر روشهای تصمیمگیری چند معیاره چیست؟
روش SIR نسبت به سایر روشها سادهتر و قابل فهمتر است، اما ممکن است در برخی موارد دقت کمتری داشته باشد. انتخاب بهترین روش به ماهیت مسئله و ترجیحات تصمیمگیرنده بستگی دارد.
آیا روش SIR برای مسائل پیچیده قابل استفاده است؟
بله، روش SIR برای مسائل پیچیده با تعداد زیاد گزینه و معیار قابل استفاده است. با این حال، برای مسائل بسیار بزرگ، محاسبات روش SIR میتواند پیچیده باشد.
آیا میتوان از روش SIR برای تصمیمگیریهای گروهی استفاده کرد؟
بله، روش SIR برای تصمیمگیریهای گروهی نیز قابل استفاده است. در این حالت، نظرات همه اعضای گروه جمعآوری شده و سپس با استفاده از روش SIR، گزینهها رتبهبندی میشوند.
چه نرمافزارهایی برای اجرای روش SIR وجود دارد؟
نرمافزارهای مختلفی برای اجرای روش SIR وجود دارد که برخی از آنها به صورت رایگان و برخی دیگر به صورت تجاری در دسترس هستند.
آیا روش SIR به اطلاعات کمی نیاز دارد؟
بله، روش SIR به اطلاعات کمی نیاز دارد و میتوان با استفاده از قضاوتهای کیفی تصمیمگیرنده، به نتایج قابل قبولی دست یافت.
آیا روش SIR میتواند عدم قطعیت را در نظر بگیرد؟
خیر، روش SIR عدم قطعیت موجود در دادهها را در نظر نمیگیرد و فرض میکند که همه اطلاعات با قطعیت کامل در دسترس هستند.
