در دنیای واقعی، تصمیم گیری اغلب با چالش انتخاب بهترین گزینه از میان مجموعه ای از گزینه ها همراه است، که هر کدام مزایا و معایب خاص خود را دارند. در بسیاری از این سناریوها، با تصمیم گیری های چندهدفه روبرو هستیم، جایی که باید به طور همزمان چندین هدف (گاهی متضاد) را در نظر بگیریم و راه حلی پیدا کنیم که به بهترین وجه به آنها دست یابد.
برخلاف روش های سنتی تصمیم گیری چند معیاره (MCDM) که صرفاً به رتبه بندی گزینه ها می پردازند، برنامه ریزی آرمانی (Goal Programming) ابزاری قدرتمند برای یافتن راه حل های بهینه در این گونه مسائل ارائه می دهد.

در این مقاله، به بررسی جامع مفاهیم کلیدی، مزایا، مراحل، کاربردها و نکات کلیدی در برنامه ریزی آرمانی می پردازیم. همچنین، به منظور درک عمیق تر این موضوع، سوالات متداول و پیشنهادات کاربردی در انتهای مقاله ارائه خواهد شد.
آنچه می خوانید
مفاهیم کلیدی در برنامه ریزی آرمانی
- برنامهریزی آرمانی را میتوان بهعنوان یک بسط یا تعمیم برنامهریزی خطی برای رسیدگی به اقدامات هدفی متعدد و معمولاً متضاد در نظر گرفت.
- به هر یک از این اقدامات یک هدف یا ارزش هدف داده می شود که باید به آن دست یافت.
- سپس انحرافات ناخواسته از این مجموعه از مقادیر هدف، در یک تابع دستاورد به حداقل می رسد. این می تواند یک بردار یا یک جمع وزنی وابسته به نوع برنامه ریزی هدف مورد استفاده باشد.
- از آنجایی که در نظر گرفته میشود که رضایت از هدف، تصمیم گیرندگان (تصمیمگیرندگان) را راضی میکند، یک فلسفه رضایتبخش زیربنایی فرض میشود.
- برای انجام مدل برنامه ریزی هدف، سه نوع تحلیل استفاده می شود:
- تعیین منابع مورد نیاز برای دستیابی به مجموعه ای از اهداف مورد نظر.
- تعیین میزان دستیابی به اهداف با منابع موجود.
- ارائه بهترین راه حل رضایت بخش تحت مقدار متفاوتی از منابع و اولویت های اهداف.
مزایای برنامه ریزی آرمانی
- انعطاف پذیری: برنامه ریزی آرمانی به شما امکان می دهد تا با مجموعه ای از اهداف متضاد یا همسو کار کنید و در عین حال محدودیت ها و شرایط واقعی را نیز در نظر بگیرید. این انعطاف پذیری، برنامه ریزی آرمانی را به ابزاری مناسب برای تصمیم گیری در دنیای واقعی تبدیل می کند.
- واقع گرایی: به جای تمرکز بر اهداف آرمانی و غیرقابل دسترس، به دنبال سطوح مطلوب واقع بینانه برای هر هدف است. این رویکرد واقع گرایانه، برنامه ریزی آرمانی را از سایر روش های MCDM که ممکن است بر اهداف آرمانی غیرقابل دستیابی تمرکز کنند، متمایز می کند.
- شفافیت: با استفاده از وزن ها، اولویت نسبی هر هدف به طور شفاف مشخص می شود. این شفافیت به تصمیم گیرندگان کمک می کند تا اولویت های خود را به طور واضح بیان کنند و تاثیر آنها را بر نتایج نهایی مشاهده کنند.
- قابلیت تجزیه و تحلیل: نتایج مدل های برنامه ریزی آرمانی به راحتی قابل تجزیه و تحلیل و تفسیر هستند که به شما امکان می دهد بینش های ارزشمندی در مورد فرآیند تصمیم گیری خود به دست آورید. این قابلیت تجزیه و تحلیل به شما کمک می کند تا از نتایج به طور موثر برای بهبود تصمیمات خود استفاده کنید.
محدودیت های برنامه ریزی آرمانی
با وجود مزایای فراوان، برنامه ریزی آرمانی نیز محدودیت هایی دارد که باید در نظر گرفته شود:
- پیچیدگی: در برخی موارد، حل مدل برنامه ریزی آرمانی می تواند پیچیده باشد و به مهارت های ریاضی بالایی نیاز داشته باشد.
- عدم قطعیت: ممکن است سطوح آرمانی و اولویت های تعیین شده دقیق نباشند و این امر بر کیفیت راه حل نهایی تاثیر بگذارد.
- وابستگی به داده ها: برنامه ریزی آرمانی به داده های دقیق در مورد اهداف و محدودیت ها نیاز دارد.

کاربردهای برنامه ریزی آرمانی
برنامه ریزی آرمانی در زمینه های مختلف کاربرد دارد، از جمله:
- انتخاب سبد سرمایه گذاری: انتخاب بهترین سبد سرمایه گذاری با توجه به معیارهای مختلف مانند ریسک، بازده و نقدینگی.
- حل مسائل مکان یابی: یافتن بهترین مکان برای احداث یک تاسیسات جدید با در نظر گرفتن معیارهای مختلف مانند دسترسی به مواد اولیه، نزدیکی به بازار و هزینه حمل و نقل.
- برنامه ریزی پروژه: برنامه ریزی و کنترل پروژه ها با توجه به معیارهای مختلف مانند زمان، هزینه و کیفیت.
- انتخاب تامین کننده: انتخاب بهترین تامین کننده برای یک محصول یا خدمات با در نظر گرفتن معیارهای مختلف مانند قیمت، کیفیت و قابلیت اطمینان.
- مدیریت زنجیره تامین: مدیریت زنجیره تامین با توجه به معیارهای مختلف مانند هزینه، زمان و خدمات به مشتری.
- انتخاب محل احداث تاسیسات تولیدی: یافتن بهترین مکان برای احداث یک تاسیسات تولیدی جدید با در نظر گرفتن معیارهای مختلف مانند دسترسی به مواد اولیه، نیروی کار و بازار.
- مسائل زیست محیطی: حل مسائل زیست محیطی مانند آلودگی هوا و آب با در نظر گرفتن معیارهای مختلف مانند هزینه، اثرات زیست محیطی و رضایت ذینفعان.
- برنامه ریزی آموزشی: برنامه ریزی آموزشی با توجه به معیارهای مختلف مانند کیفیت آموزش، دسترسی به آموزش و هزینه آموزش.
- برنامه ریزی شهری: برنامه ریزی شهری با توجه به معیارهای مختلف مانند تراکم جمعیت، زیرساخت ها و کیفیت زندگی.
- مدیریت منابع طبیعی: مدیریت منابع طبیعی مانند آب، جنگل و معادن با در نظر گرفتن معیارهای مختلف مانند پایداری، بهره وری و عدالت.

اصطلاحات روش برنامه ریزی آرمانی
تصمیم گیرنده
تصمیم گیرنده یا تصمیم گیرندگان به شخص(ها)، سازمان(ها) یا ذینفعان مربوط می شود که مشکل تصمیم مورد بررسی به آنها تعلق دارد.
متغیر تصمیم
متغیر تصمیم به عنوان عاملی تعریف می شود که تصمیم گیرنده بر آن کنترل دارد. مجموعه متغیرهای تصمیم به طور کامل مساله را توصیف می کند و تصمیمی را که باید گرفته شود را شکل می دهد. هدف از مدل برنامهریزی آرمانی را میتوان جستجوی همه ترکیبهای ممکن از مقادیر متغیر تصمیم (که به عنوان فضای تصمیمگیری شناخته میشود) به منظور تعیین نقطهای که اهداف و محدودیتهای تصمیمگیرنده را به بهترین شکل برآورده میکند، در نظر گرفت.
معیار
معیار واحدی است که با آن می توان خوب بودن هر راه حلی برای یک مسئله تصمیم گیری را سنجید. معیارهای ممکن زیادی وجود دارند که از زمینه های مختلف کاربردی ناشی می شوند، اما برخی از رایج ترین آنها در بالاترین سطح به
- هزینه
- سود
- زمان
- فاصله
- عملکرد یک سیستم
- شرکت یا استراتژی سازمانی
- ترجیحات شخصی تصمیم گیرنده (گان)
- ملاحظات ایمنی
مساله تصمیم گیری چندمعیاره
یک مساله تصمیم گیری که بیش از یک معیار دارد را به عنوان یک مساله تصمیم گیری چند معیاره (MCDM) یا یاری کننده تصمیم گیری چند معیاره (MCDA) می نامند. فضایی که توسط مجموعه معیارها تشکیل می شود به عنوان فضای معیار شناخته می شود.
سطح رضایتمندی
مقدار عددی تعیین شده توسط تصمیم گیرنده که نشان دهنده تمایل یا سطح رضایت بخش او با توجه به تابع هدف مورد نظر است. به عنوان مثال، فرض کنید شرکت مایل به حداکثر رساندن سود است که به صورت زیر فرموله شده است:
(1) Max Z = 2×1+3×2
بعلاوه فرض کنید مدیریت می خواهد حداقل 40000 به عنوان سود داشته باشد، پس هدف ذکر شده در بالا الزامی است. -نوشته شده به صورت:
2×1+3×2>=40.000 (2)
در اینجا، 40,000 سطح رضایتمندی با توجه به سود است.
هدف
یک تابع هدف همراه با سطح آرزوی آن هدف نامیده می شود. به عنوان مثال، رابطه (1) یک تابع هدف است در حالی که رابطه (2) یک هدف است.
انحراف ازهدف
تفاوت بین آنچه در واقع به دست می آوریم و آنچه می خواهیم به آن برسیم. دو نوع انحراف هدف وجود دارد:
- انحراف مثبت یا بیش از حد
- انحراف منفی یا کم از حد
به طور کلی اهداف را می توان به سه صورت تعریف کرد:

به طور کلی، برای برنامه ریزی هدف صرف نظر از نوع هدف می توانیم از هر دو انحراف برای هر مورد استفاده کنیم. با این حال، برای دو مورد اول لازم است فقط یکی از انحرافات به حداقل برسد.
فرمول نویسی برنامه ریزی آرمانی
- انحرافات مطلوب در مقابل نامطلوب: (بستگی به اهداف دارد)
- حداکثر اهداف (≥) – هر چه بیشتر بهتر -(di+) یا Pi مطلوب.
- حداقل اهداف (≤) – هر چه کمتر بهتر -(di-) یا Ni نامطلوب.
- اهداف دقیق (=) – دقیقاً برابر – هر دو-(di+) یا Pi مطلوب و -(di-) یا Ni نامطلوب.
- در همه موقعیت ها ابتدا انحراف نامطلوب عبارت را در هدف شناسایی می کنیم و سپس سعی می کنیم همان را به حداقل برسانیم.
- در GP، هدف به حداقل رساندن مجموع (وزن دار) انحرافات نامطلوب (همه نامطلوب Di+ (یا Pi ) و -Di (یا Ni) برابر صفر است.
- برای هر هدف، حداقل یکی ازDi+ (یا Pi) و Di- (یا Ni) باید برابر با “0” باشد.
- یک راه حل بهینه زمانی حاصل می شود که تمام اهداف تا حد ممکن به سطح آرزوی خود نزدیک شوند، در حالی که مجموعه ای از محدودیت ها را برآورده می کنند.
انواع برنامه ریزی آرمانی
دو نوع فرمولبندی برنامهریزی هدف وجود دارد:
1) برنامهریزی آرمانی وزنی (بدون اولویت)
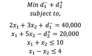
در این نوع مسائل سعی میکنیم مجموع وزنی تمام انحرافات نامطلوب را به حداقل برسانیم. در این نوع گفته می شود که هیچ هدفی بر هیچ هدف دیگری تسلط ندارد. با این حال، ممکن است اهمیت متفاوتی برای انحرافات توسط تصمیم گیرندگان داشته باشد. به عنوان مثال، اجازه دهید مسئله برنامه ریزی خطی چندهدفه زیر را در نظر بگیریم :

با فرض اینکه تصمیم گیرنده بخواهد حداقل 40000 سود داشته باشد و هزینه نباید از حد 20000 که به صورت زیر نمایش داده می شود تجاوز کند می تواند به یک مسئله برنامه ریزی آرمانی تبدیل شود.

موارد فوق بیانگر مساله برنامه ریزی آرمانی وزنی غیر اولویت دار است.
2) برنامهریزی آرمانی رتبه بندی دار (اولویت دار)
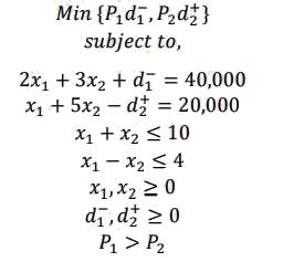
فرض کنید در مسئله فوق پس از آگاهی از این واقعیت که سناریوی چندهدفه محدود به چنین راه حلی است که هر دو هدف را به طور همزمان برآورده کند، سپس تصمیم گیرندگان اولویت های هر دو هدف را مشخص می کنند.
فرض کنید در مسئله GP1 هدف اول داشتن اولویت بالاتر است، مثلاً 1، و هدف دوم داشتن اولویت کمتر است، مثلاً P2، یعنی 1 > 2. در این وضعیت، مساله GP1 به صورت زیر نوشته می شود GP2:

موارد فوق بیانگر مساله برنامه ریزی آرمانی رتبه بندی دار (اولویت دار) است.
نکات مهم در مورد برنامه ریزی آرمانی
دو نوع محدودیت در یک مسئله برنامه ریزی آرمانی وجود دارد: محدودیت های نرم و محدودیت های سخت (یا صلب).
- محدودیت های نرم، محدودیت های مربوط به اهدافی هستند که با استفاده از آرزوها برای توابع هدف به دست آمده اند. به عنوان مثال دو قید اول در مسائل فوق (GP1، GP2) قیود نرم هستند.
- محدودیتهای سخت، محدودیتهای مربوط به منطقه امکان پذیر یا محدودیتهای اصلی هستند که در آن هیچ تخلفی قابل قبول نیست. به عنوان مثال قیود در مسئله MOP1، قیود سخت در مسائل بالا هستند GP2، GP1.
سوالات متداول مسائل تصمیم گیری چند هدفه
برنامه ریزی آرمانی چه تفاوتی با روش های دیگر تصمیم گیری چندهدفه مانند AHP دارد؟
AHP بر مقایسه زوجی اهداف تمرکز دارد، در حالی که برنامه ریزی آرمانی به دنبال یافتن راه حلی است که به بهترین وجه به مجموعه ای از اهداف دست یابد.
آیا برنامه ریزی آرمانی همیشه راه حلی بهینه ارائه می دهد؟
خیر، برنامه ریزی آرمانی همیشه راه حلی بهینه ارائه نمی دهد، زیرا ممکن است سطوح آرمانی و اولویت های تعیین شده دقیق نباشند.
از چه نرم افزاری می توان برای حل مدل های برنامه ریزی آرمانی استفاده کرد؟
نرم افزارهای مختلفی برای حل مدل های برنامه ریزی آرمانی وجود دارد، مانند GAMS، LINGO و MATLAB.
نتیجهگیری
برنامه ریزی آرمانی ابزاری قدرتمند برای تصمیم گیری چندهدفه است که می تواند به مدیران در یافتن بهترین راه حل برای مسائل پیچیده کمک کند. با وجود مزایای فراوان، این روش محدودیت هایی نیز دارد که باید در نظر گرفته شود.
- مطالعات بیشتری در زمینه کاربردهای برنامه ریزی آرمانی در زمینه های مختلف انجام شود.
- روش های جدیدی برای حل مدل های برنامه ریزی آرمانی توسعه یابد.
- نرم افزارهای کاربرپسندتری برای حل مدل های برنامه ریزی آرمانی طراحی شود.
خدمات فرابگیر
- تبلیغات در فضای مجازی گوگل، اینستاگرام و فیس بوک.
- مدیریت صفحات اجتماعی اینستاگرام و فیس بوک.
- برنامه نویسی حرفه ای با جدیدترین متدهای روز دنیا
- طراحی وب سایت و سئو نمودن مطالب با جدیدترین راهکارها برای بازدید حداکثری مطالب
- خدمات طراحی سربرگ؛ کار ویزیت، لوگو و بسته مدیریتی
- پروژهای دانشجویی در زمینه تحقیق در عملیات، آمار و تص
- آموزش مجازی برای کاربران در زمینه های درخواستی دوره های موجود در وب سایت
باعث افتخارست که مجموعه ما تا کنون بیش از ۱۲۰۰۰ پروژه موفق در زمینه های متخلف ارائه نموده است که با مراجعه به بخش نمونه کارها در دسترس شما عزیزان قرار گرفته است. در صورتی که تصور می کنید پروژه مورد نظر شما در این دسته بندی ها قرار ندارد با تماس با تیم حرفه ای ما می توانید از مشاوره رایگان بهره مند گردید.
