روش AHP فازی چانگ یکی از محبوب ترین روش های FAHP است که توسط Chang در سال 1992 معرفی شد. این روش با ترکیب مزایای AHP کلاسیک و منطق فازی، ابزاری قدرتمند برای تجزیه و تحلیل و حل مسائل پیچیده MCDM با معیارها و جایگزین های فازی ارائه می دهد.
در دنیای پیچیده امروزی، تصمیم گیری های مدیریتی اغلب با چالش هایی همراه هستند که ناشی از وجود معیارهای متعدد، عدم قطعیت و قضاوت های ذهنی ذینفعان مختلف می باشند. در چنین شرایطی، روش های سنتی تصمیم گیری مانند تحلیل هزینه-فایده ممکن است کارایی لازم را نداشته باشند.

برای غلبه بر این چالش ها، روش های نوینی مانند تحلیل سلسله مراتبی فازی (FAHP) توسعه یافته اند که به طور خاص برای حل مسائل تصمیم گیری چند معیاره (MCDM) با عدم قطعیت طراحی شده اند.
آنچه می خوانید
در این مقاله، به طور جامع به آموزش گام به گام روش AHP فازی چانگ می پردازیم. این آموزش شامل مراحل اصلی روش، نحوه محاسبه وزن معیارها و اولویت جایگزین ها، و همچنین مزایا و معایب این روش خواهد بود.
مزایای روش AHP فازی چانگ
- سادگی و سهولت درک و اجرا: AHP فازی چانگ از نظر مفهومی ساده است و به راحتی می توان آن را توسط افراد بدون دانش تخصصی در زمینه ریاضیات یا منطق فازی اجرا کرد.
- توانایی در رسیدگی به عدم قطعیت و ابهام: AHP فازی چانگ به طور خاص برای رسیدگی به عدم قطعیت و ابهام در قضاوت ها طراحی شده است. این روش از اعداد فازی مثلثی برای نشان دادن قضاوت های ذهنی تصمیم گیرندگان یا کارشناسان استفاده می کند که به طور ذاتی با عدم قطعیت همراه هستند.
- توانایی در ترکیب دانش و نظرات ذینفعان مختلف: AHP فازی چانگ می تواند برای ترکیب دانش و نظرات ذینفعان مختلف در فرآیند تصمیم گیری استفاده شود. این امر به ویژه در مواردی که ذینفعان مختلف دیدگاه ها و ترجیحات متفاوتی دارند مفید است.
- قابلیت انعطاف پذیری: AHP فازی چانگ را می توان به راحتی برای انواع مختلف مسائل MCDM با معیارها و جایگزین های فازی اقتباس داد.
معایب روش AHP فازی چانگ
- وابستگی به قضاوت های ذهنی: AHP فازی چانگ به شدت به قضاوت های ذهنی تصمیم گیرندگان یا کارشناسان وابسته است. این قضاوت ها می تواند مغرضانه یا نادرست باشد، که می تواند بر نتایج نهایی تأثیر بگذارد.
- نیاز به نرم افزار تخصصی: برای انجام محاسبات پیچیده AHP فازی چانگ، ممکن است به نرم افزار تخصصی نیاز باشد.
- محدودیت های تئوریک: برخی از محدودیت های تئوریک در رابطه با AHP فازی چانگ وجود دارد که هنوز به طور کامل مورد بحث قرار نگرفته است.
تفاوت های اصلی بین AHP فازی چانگ و AHP فازی بوکلی
روش جمع:
- چانگ: از میانگین حسابی اعداد فازی مثلثی برای محاسبه وزن معیارها و اولویت جایگزین ها استفاده می کند.
- بوکلی: از میانگین هندسی اعداد فازی مثلثی برای محاسبه وزن ها و اولویت ها استفاده می کند.
ماتریس مقایسات جفت:
- چانگ: ماتریس مقایسات جفت فازی را با استفاده از میانگین حسابی اعداد فازی مثلثی از قضاوت های تصمیم گیرندگان یا کارشناسان بدست می آورد.
- بوکلی: ماتریس مقایسات جفت فازی را با استفاده از یک فرآیند پیچیده تر که شامل معادلات خطی و اعداد فازی ذوزنقه ای است، بدست می آورد.
سازگاری:
- چانگ: فرض می کند که ماتریس مقایسات جفت فازی سازگار است، به این معنی که اگر A بر B غالب باشد و B بر C غالب باشد، A نیز باید بر C غالب باشد.
- بوکلی: نیازی به فرض سازگاری ماتریس مقایسات جفت فازی ندارد و می تواند با ناسازگاری ها مقابله کند.
محاسبات:
- چانگ: محاسبات AHP فازی چانگ نسبتاً ساده و مستقیم است.
- بوکلی: محاسبات AHP فازی بوکلی پیچیده تر است و ممکن است به نرم افزار تخصصی نیاز داشته باشد.
مزایا:
- چانگ: ساده تر برای درک و اجرا، به نرم افزار تخصصی کمتری نیاز دارد.
- بوکلی: می تواند با ناسازگاری ها در قضاوت ها مقابله کند، ممکن است نتایج دقیق تری ارائه دهد.
معایب:
- چانگ: به سازگاری ماتریس مقایسات جفت فازی حساس است، ممکن است در صورت وجود ناسازگاری ها دقیق نباشد.
- بوکلی: پیچیده تر برای درک و اجرا، به نرم افزار تخصصی بیشتری نیاز دارد.
انتخاب روش:
انتخاب بین AHP فازی چانگ و AHP فازی بوکلی به عوامل مختلفی از جمله ماهیت تصمیم، در دسترس بودن داده ها و ترجیحات تصمیم گیرنده بستگی دارد.
- اگر سادگی و سهولت اجرا برای شما مهم است، AHP فازی چانگ ممکن است انتخاب خوبی باشد.
- اگر با ناسازگاری در قضاوت ها سروکار دارید یا به نتایج دقیق تری نیاز دارید، AHP فازی بوکلی ممکن است انتخاب بهتری باشد.
مراحل روش AHP فازی چانگ
روش تحلیل سلسله مراتبی فازی (FAHP) ابزاری قدرتمند برای حل مسائل تصمیم گیری چند معیاره (MCDM) با معیارها و جایگزین های فازی است. AHP فازی چانگ یکی از محبوب ترین روش های FAHP است که توسط Chang در سال 1992 معرفی شد.
در این راهنمای جامع، مراحل روش AHP فازی چانگ را به صورت گام به گام شرح می دهیم. این مراحل شامل:
مرحله 1: ترسیم درخت سلسله مراتبی
در این مرحله ابتدا ساختار سلسله مراتبی تصمیم با استفاده از سطوح هدف، معیار و زیرمعیارها ترسیم میشود.

مرحله 2: تعریف اعداد فازی
بهمنظور انجام مقایسههای زوجی اعداد فازی را تعریف می کنیم. می توان نظر خبرگان را در قالب عباراتی مانند: مهم تر، خیلی مهم تر و… دریافت کرد و سپس آنها را با استفاده از جدول زیر به اعداد فازی مثلثی تبدیل نمود.
| عبارت کلامی | عدد فازی مثلثی | عدد فازی معکوس |
| اهمیت دقیقا مساوی | (1و1و1) | (1و1و1) |
| کمی مهم تر | (2/3و1و2/1) | (2و1و3/2) |
| مهم تر | (2و2/3و1) | (1و3/2و2/1) |
| خیلی مهم تر | (2/5و2وو2/3) | (3/2و2/1و5/2) |
| خیلی زیاد مهم تر | (3و2/5و2) | (2/1و5/2و3/1) |
| کاملا مهم تر | (2/7و3و2/5) | (5/2و3/1و7/2) |
مرحله 3: تشکیل ماتریس مقایسات زوجیa
در این مرحله ماتریسهای توافقی را مطابق با درخت تصمیم و با استفاده از نظرات خبرگان تشکیل داده و سپس نرخ ناسازگاری مطابق روش گوگوس و بوچر محاسبه میگردد. ماتریس مقایسه زوجی بهصورت زیر خواهد بود:

در این قسمت می توانید نحوه محاسبه نرخ ناسازگاری را مشاهده نمایید.
زمانی که بیش از یک خبره جداول نظرات را پر می نماید، می بایست از میانگین حسابی برای تجمیع نظرات تصمیم گیرندگان استفاده نمود. این میانگین را به صورت زیر محاسبه می کنیم:
مرحله 4: محاسبه Si
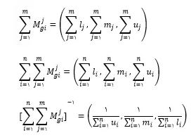
مقدار Si برای هر یک از سطرهای ماتریس مقایسه زوجی که خود یک عدد فازی مثلثی است از رابطه زیر محاسبه میشود:

روش AHP فازی روش AHP فازی روش AHP فازی
که در این رابطه i بیانگر شماره سطر و j بیانگر شماره ستون میباشد.mjgi در این رابطه اعداد فازی مثلثی ماتریسهای مقایسه زوجی هستند. سایر مقادیر را میتوان به ترتیب از روابط زیر محاسبه کرد:

در روابط بالا li,mi,ui به ترتیب مولفههای اول تا سوم اعداد فازی هستند.
بیشتر بدانیم
مرحله 5: محاسبه درجه بزرگی si ها نسبت به همدیگر
به طور کلی اگرM1=(l1,m1,u1) و M2=(l2,m2,u2) دو عدد فازی مثلثی باشند، طبق ماتریس مقایسه زوجی درجه بزرگی m1 نسبت بهm2 به صورت زیر تعریف میشود:

از طرف دیگر میزان بزرگی یک عدد فازی مثلثی از K عدد فازی مثلثی دیگر از رابطه زیر به دست میآید:

مرحله 6: محاسبه وزن معیارها و گزینهها
برای محاسبه وزن معیارها و گزینهها در ماتریسهای مقایسه زوجی از رابطه زیر استفاده میشود:

بنابراین بردار وزن نرمالسازی نشده به صورت زیر خواهد بود:

مرحله 7: محاسبه بردار وزن نهایی
برای محاسبه بردار وزن نهایی باید بردار وزن محاسبه شده در مرحله قبل را نرمالسازی کرد بنابراین:

سایر مراحل مشابه روش تحلیل سلسله مراتبی کلاسیک خواهد بود.
نتیجه گیری
AHP فازی چانگ یک روش قدرتمند و انعطاف پذیر برای حل مسائل MCDM با عدم قطعیت است. این روش مزایای متعددی از جمله سادگی، توانایی در رسیدگی به عدم قطعیت و قابلیت ترکیب دانش ذینفعان مختلف را ارائه می دهد. با این حال، AHP فازی چانگ نیز دارای محدودیت هایی مانند وابستگی به قضاوت های ذهنی و نیاز به نرم افزار تخصصی است.
- قبل از استفاده از AHP فازی چانگ، مهم است که با مزایا و معایب این روش به طور کامل آشنا شوید.
- برای به حداقل رساندن تأثیر قضاوت های ذهنی، از چندین ذینفع در فرآیند تصمیم گیری استفاده کنید.
- از نرم افزار تخصصی مناسب برای انجام محاسبات AHP فازی چانگ استفاده کنید.
- در صورت وجود هرگونه ابهام یا سوال، با یک متخصص مشورت کنید.
سوالات متداول در مورد روش AHP فازی چانگ
AHP فازی چانگ برای چه نوع مسائلی مناسب است؟
AHP فازی چانگ برای حل مسائل MCDM با معیارها و جایگزین های فازی مناسب است. این روش به طور خاص برای مواردی که عدم قطعیت و ابهام در قضاوت ها وجود دارد مفید است.
تفاوت بین AHP فازی چانگ و AHP کلاسیک چیست؟
تفاوت اصلی بین AHP فازی چانگ و AHP کلاسیک در نحوه رسیدگی به عدم قطعیت است. AHP کلاسیک فرض می کند که قضاوت ها قطعی هستند، در حالی که AHP فازی چانگ از اعداد فازی مثلثی برای نشان دادن عدم قطعیت در قضاوت ها استفاده می کند.
چگونه می توان از AHP فازی چانگ برای رتبه بندی جایگزین ها استفاده کرد؟
برای رتبه بندی جایگزین ها با استفاده از AHP فازی چانگ، ابتدا باید اولویت های فازی کلی هر جایگزین را محاسبه کنید. این اولویت ها بر اساس وزن های فازی معیارها و اولویت های فازی جایگزین ها در رابطه با هر معیار محاسبه می شوند. سپس جایگزین ها بر اساس اولویت های فازی کلی آنها رتبه بندی می شوند. جایگزینی که بالاترین اولویت فازی را داشته باشد، مطلوب ترین جایگزین است.


