روش کداس CODAS
در دنیای پیچیده امروز، تصمیمگیریهای مدیریتی با چالشهای متعددی روبرو هستند. وجود گزینههای متعدد با معیارهای گوناگون، انتخاب بهترین گزینه را دشوار میکند. روشهای سنتی تصمیمگیری اغلب در مواجهه با این پیچیدگیها ناکافی هستند. در این میان، روشهای نوین تصمیمگیری چندمعیاره (MCDM) به عنوان ابزاری کارآمد، به مدیران در انتخاب بهینه ترین گزینه یاری میرسانند.
یکی از روشهای نوین MCDM که در سال 2016 توسط زادساکاس و همکارانش معرفی شده، روش کداس CODAS (Combinative Distance-based Assessment) است. این روش با تلفیق فاصله اقلیدسی و تاکسی از نقطه ایدهآل منفی، امتیازات را به گونهای به گزینهها اختصاص میدهد که بهترین گزینه، بیشترین فاصله را از این نقطه داشته باشد.
آنچه می خوانید
در این مقاله، به بررسی جامع روش CODAS میپردازیم. مفاهیم کلیدی، مراحل اجرا، مزایا و معایب، کاربردهایی از این روش ارائه خواهد شد. همچنین، به سوالات متداول در مورد CODAS پاسخ داده میشود.
مفاهیم کلیدی روش کداس CODAS
در روش CODAS (Combinative Distance-based Assessment) برای تصمیمگیری چندمعیاره، از چند مفهوم کلیدی برای محاسبه امتیازات گزینهها و انتخاب بهترین گزینه استفاده میشود. در ادامه به شرح این مفاهیم میپردازیم:

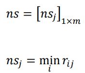
- نقطه ایدهآل منفی: بدترین مقداری که میتوان برای هر معیار در نظر گرفت.
- فاصله اقلیدسی: فاصله بین گزینه و نقطه ایدهآل منفی در فضای اقلیدسی.
- فاصله تاکسی: فاصله بین گزینه و نقطه ایدهآل منفی در فضای تاکسی.
- امتیاز نهایی CODAS: مجموعهای از امتیازات حاصل از فاصله اقلیدسی و تاکسی.
مراحل اجرای روش CODAS
مراحل روش کداس به شرح زیر است:
1. ایجاد ماتریس تصمیم:
اولین قدم در روش CODAS، جمعآوری اطلاعات مربوط به عملکرد هر گزینه در هر معیار است.این اطلاعات باید در یک جدول به نام ماتریس تصمیم سازماندهی شوند.در سطرهای ماتریس تصمیم، گزینهها و در ستونهای آن، معیارها قرار میگیرند. هر سلول ماتریس، نشاندهنده عملکرد یک گزینه خاص در یک معیار خاص است.

که در آن xij ارزش عملکرد iامین گزینه را بر روی معیار jام نشان می دهد.
2. نرمالسازی ماتریس تصمیم
ماتریس تصمیم نرمال شده را محاسبه کنید. ما از نرمال سازی خطی مقادیر عملکرد به صورت زیر استفاده می کنیم:

که در آن Nb و Nc به ترتیب مجموعه معیارهای سود و هزینه را نشان می دهند.
3. محاسبه ماتریس نرمال وزنی:
ماتریس تصمیم گیری نرمال شده وزنی را محاسبه کنید. مقادیر عملکرد نرمال شده به صورت زیر محاسبه می شود:

که در آن Wj (0 < Wj< 1) وزن معیار jام را نشان می دهد و Wj = 1∑ مجموع اوزان برابر یک است.
4. تعیین نقطه ایده آل منفی:
راه حل منفی-ایده آل (نقطه) را به صورت زیر تعیین کنید:

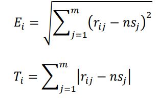
5. محاسبه فاصله اقلیدسی و تاکسیکاب
فاصله اقلیدسی و تاکسیکاب جایگزین ها را از راه حل منفی-ایده آل که به صورت زیر نشان داده شده است محاسبه کنید:

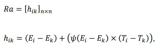
6. ماتریس ارزیابی نسبی:
ماتریس ارزیابی نسبی را بسازید که به صورت زیر نشان داده شده است:

که در آن K زیرمجموعه از اعداد 1 تا n و علامت phi یک تابع آستانه را برای تشخیص برابری فواصل اقلیدسی دو گزینه نشان می دهد و به صورت زیر تعریف می شود:

در این تابع، t پارامتر آستانه ای است که می تواند توسط تصمیم گیرنده تنظیم شود. پیشنهاد می شود این پارامتر را در مقداری بین 0.01 و 0.05 تنظیم کنید. اگر تفاوت بین فواصل اقلیدسی دو گزینه کمتر از t باشد، این دو جایگزین با فاصله تاکسی نیز مقایسه می شوند. معمولا برای محاسبات از 0.02 = t استفاده می شود.
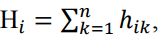
8. امتیاز ارزیابی گزینه ها:
امتیاز ارزیابی هر گزینه را محاسبه کنید که به صورت زیر نشان داده شده است:

9. رتبه بندی گزینه ها:
گزینه های جایگزین را با توجه به مقادیر کاهشی نمره ارزیابی (Hi) رتبه بندی کنید. جایگزین با بالاترین Hi بهترین انتخاب در بین گزینه هاست.
مزایای روش CODAS
روش CODAS (Combinative Distance-based Assessment) برای تصمیمگیری چندمعیاره، مزایای متعددی دارد که در ادامه به برخی از آنها اشاره میشود:
- سادگی: روش CODAS از نظر مفهومی ساده و قابل فهم است. فرمولهای آن به راحتی قابل درک و اجرا هستند. این امر باعث میشود که این روش برای استفاده توسط افراد با سطوح مختلف دانش و تخصص مناسب باشد.
- سهولت استفاده: روش CODAS از نظر عملی نیز ساده و آسان است. نرمافزارهای متعددی برای اجرای این روش وجود دارد که میتوان از آنها برای حل مسائل مختلف استفاده کرد.
- قابلیت انعطافپذیری: روش CODAS میتواند با معیارهای کیفی و کمی به طور همزمان کار کند. این امر باعث میشود که این روش برای حل مسائل مختلف در زمینههای مختلف مناسب باشد.
- توانایی در نظر گرفتن ترجیحات تصمیمگیرنده: روش CODAS به تصمیمگیرنده اجازه میدهد تا وزن هر معیار را مطابق با ترجیحات خود تعیین کند. این امر باعث میشود که این روش نتایجی را ارائه دهد که با اولویتهای تصمیمگیرنده سازگار باشد.
- توانایی در نظر گرفتن عدم قطعیت: روش CODAS میتواند با معیارهای غیردقیق و مبهم نیز کار کند. این امر باعث میشود که این روش برای حل مسائل در دنیای واقعی که اغلب با عدم قطعیت همراه هستند مناسب باشد.
- توانایی در نظر گرفتن روابط بین معیارها: روش CODAS میتواند روابط بین معیارها را در نظر بگیرد. این امر باعث میشود که این روش نتایجی را ارائه دهد که دقیقتر و واقعیتر از روشهای سنتی MCDM هستند.
معایب روش مارکوس
در کنار مزایای ذکر شده، روش CODAS معایبی نیز دارد که از جمله میتوان به موارد زیر اشاره کرد:
- نیاز به یک نقطه ایدهآل منفی: روش CODAS به یک نقطه ایدهآل منفی برای هر معیار نیاز دارد. تعیین این نقطه ایدهآل منفی در برخی موارد میتواند دشوار باشد.
- حساسیت به انتخاب وزن معیارها: روش CODAS به انتخاب دقیق وزن معیارها حساس است. انتخاب نامناسب وزن معیارها میتواند منجر به نتایج نادرست شود.
- عدم وجود یک روش استاندارد برای نرمالسازی: روشهای مختلفی برای نرمالسازی ماتریس تصمیم وجود دارد. انتخاب روش مناسب برای نرمالسازی میتواند بر نتایج نهایی تاثیر بگذارد.
با وجود این معایب، روش کداس CODAS یک روش کارآمد و مفید برای تصمیمگیری چندمعیاره است که میتواند در حل مسائل مختلف در زمینههای مختلف مورد استفاده قرار گیرد.
کاربردهای روش CODAS
روش CODAS (Combinative Distance-based Assessment) برای تصمیمگیری چندمعیاره، کاربردهای گستردهای در زمینههای مختلف دارد. در اینجا به برخی از این کاربردها اشاره میشود:
- انتخاب بهترین گزینه: از روش CODAS میتوان برای انتخاب بهترین گزینه از بین چند گزینه مختلف استفاده کرد. به عنوان مثال، میتوان از این روش برای انتخاب بهترین دانشگاه، بهترین شغل، بهترین محل زندگی و … استفاده کرد.
- رتبهبندی گزینهها: از روش CODAS میتوان برای رتبهبندی گزینههای مختلف بر اساس معیارهای مورد نظر استفاده کرد. به عنوان مثال، میتوان از این روش برای رتبهبندی دانشجویان، پروژههای تحقیقاتی، شرکتها و … استفاده کرد.
- حل مسائل مربوط به تخصیص منابع: از روش CODAS میتوان برای حل مسائل مربوط به تخصیص منابع به طور بهینه استفاده کرد. به عنوان مثال، میتوان از این روش برای تخصیص بودجه به پروژههای مختلف، تخصیص زمان به فعالیتهای مختلف و … استفاده کرد.
- ارزیابی عملکرد: از روش CODAS میتوان برای ارزیابی عملکرد افراد، سازمانها، سیستمها و … استفاده کرد. به عنوان مثال، میتوان از این روش برای ارزیابی عملکرد کارکنان، عملکرد شرکتها، عملکرد سیستمهای آموزشی و … استفاده کرد.
نتیجه گیری
روش CODAS (Combinative Distance-based Assessment) یک روش تصمیمگیری چندمعیاره (MCDM) است که برای انتخاب بهترین گزینه از بین چند گزینه مختلف بر اساس معیارهای مورد نظر استفاده میشود. این روش با استفاده از فاصله اقلیدسی و تاکسی از نقطه ایدهآل منفی، امتیازات را به گزینهها اختصاص میدهد.
روش کداس CODAS مزایای متعددی از جمله سادگی، سهولت استفاده، انعطافپذیری، توانایی در نظر گرفتن ترجیحات تصمیمگیرنده، عدم قطعیت و روابط بین معیارها را دارد. با وجود این مزایا، روش CODAS معایبی نیز دارد که از جمله میتوان به نیاز به یک نقطه ایدهآل منفی، حساسیت به انتخاب وزن معیارها و عدم وجود یک روش استاندارد برای نرمالسازی اشاره کرد.
- برای آشنایی بیشتر با روش کداس، می توانید به مقالات و کتب مربوط به این روش در سایت ما مراجعه کنید.
- همچنین می توانید از نرم افزارهای مختلفی که برای انجام محاسبات روش کداس وجود دارند، استفاده کنید.
- در صورت نیاز به راهنمایی بیشتر، می توانید با متخصصان تصمیم گیری چند معیاره تیم فرابگیر مشورت کنید.
مثال روش کداس CODAS
این مثال از مقاله A NEW COMBINATIVE DISTANCE-BASED ASSESSMENT (CODAS) METHOD FOR MULTI-CRITERIA DECISION-MAKING استخراج شده است.
در گام اول ماتریس تصمیم را شکل می دهیم و بر اساس گام دوم روش نرمال می کنیم.

در گام مقدار E و T را محاسبه می کنیم.

مقدار H را محاسبه و رتبه بندی نهایی را انجام می دهیم.

سوالات متداول در مورد روش کداس CODAS
روش کداس CODAS چیست؟
روش CODAS (Combinative Distance-based Assessment) یک روش تصمیمگیری چندمعیاره (MCDM) است که برای انتخاب بهترین گزینه از بین چند گزینه مختلف بر اساس معیارهای مورد نظر استفاده میشود. این روش با استفاده از فاصله اقلیدسی و تاکسی از نقطه ایدهآل منفی، امتیازات را به گزینهها اختصاص میدهد.
مزایای روش کداس CODAS چیست؟
روش CODAS مزایای متعددی از جمله سادگی، سهولت استفاده، انعطافپذیری، توانایی در نظر گرفتن ترجیحات تصمیمگیرنده، عدم قطعیت و روابط بین معیارها را دارد.
معایب روش کداس CODAS چیست؟
روش CODAS معایبی نیز دارد که از جمله میتوان به نیاز به یک نقطه ایدهآل منفی، حساسیت به انتخاب وزن معیارها و عدم وجود یک روش استاندارد برای نرمالسازی اشاره کرد.
کاربردهای روش کداس CODAS چیست؟
از روش CODAS میتوان برای انتخاب بهترین گزینه، رتبهبندی گزینهها، حل مسائل مربوط به تخصیص منابع و ارزیابی عملکرد استفاده کرد.
نرمافزارهای مربوط به روش CODAS کدامند؟
نرمافزارهای متعددی برای اجرای روش CODAS وجود دارد که از جمله میتوان به Excel، MATLAB، R و SPSS اشاره کرد.
