روش CRITIC
این روش را زلینی در سال 1982 برای تعیین وزن معیارها ارائه داده است. غلامی (1390) در مقاله ای مطرح می کند که در این روش نظر کارشناسان چندان اهمیتی ندارد. دخالت نداشتن نظر کارشناسان در روش کریتیک می تواند یکی از مهمترین قابلیت های این روش محسوب شود (موسوی و همکاران، 1395).
در این روش داده ها براساس میزان تداخل و تضاد موجـود بـین عوامل یـا معیارها مورد تجزیه و تحلیل قرار می گیرند. این شیوه پردازش، باعث می شود که در نتیجه نهایی محاسبات، نقش هر عامل به درستی اعمال گردد.
در روش کریتیک برای هـر معیـار ارزیابی دامنه ای از تغییرات مقادیر اندازه گیری شـده در میـان پیکسل ها (گزینه) وجود دارد کـه در قالـب یـک تـابع عضویت بیان می شوند. هر کدام از بـردارهـای تشـکیل شده برای معیارهای مورد استفاده، دارای پـارامترهـای آماری از جمله انحراف معیار هسـتند. ایـن پـارامترهـا نمایــانگــر درجــه تبــاین در مقــادیر معیــار مربوطــه مـی باشـد.
وزن معیارها به اندازه ویژگی های معیارها از دیدگاه ذهنی تصمیم گیرندگان تأثیر می پذیرد. وزن معیارها معمولا توسط تصمیم گیرندگان بر اساس تجربه، دانش و درک مسئله شکل می گیرد. با این وجود این امر منجر به شک و تردید در مورد قابلیت اطمینان نتایج می شود. برای غلبه بر چنین مشکلاتی، رویکردهای ارزش گذاری عددی مورد استفاده قرار می گیرند.
مفروضات روش کریتیک
با کمی تأمل در روش کریتیک و چرایی استفاده از آن، می توان گفت كه مفروضات ذیل در تعیین وزن هر معیار، اثرگذار می باشند:
- میزان انحراف معیار در رابطه با هر یك از عاملها نشان از میزان همگنی یا ناهمگنی می باشد. بنابراین انحراف معیار هرچقدر پایینتر باشد می تواند در تنزل وزن، دخیل باشد.
- هر اندازه که همبستگی مثبت بین معیارها باهم بیشتر باشد، به همان نسبت تغییرات یک معیار بعنوان معرف، بر تغییرات معیار دیگر توجیه پذیر خواهد بود.
روش CRITIC
روش CRITIC، که توسط Diakoulaki و همکاران در سال 1995 ارئه شد روش عینی برای تعیین وزن معیارهاست که شامل شدت تضاد و ناسازگاری بین اجزای یک مساله تصمیم گیری است. این دو مقوله در آمار به وسیله ضرایب همبستگی و انحراف معیار صورت می گیرد. در واقع انحراف معیار مربوط به مقادیر هر معیار می باشد و ضریب همبستگی مربوط به جفت معیارها می باشد.
به بیان دیگر انحراف معیار در مجموعه صورت می گیرد و همبستگی در خارج از مجموعه.
مراحل روش CRITIC به همراه مثال
اولین گام در این روش تشکیل ماتریس تصمیم است ماتریس تصمیم این روش همانند ماتریس تصمیم روشهایی چون آنتروپی شانون، تاپسیس و… می باشد. در این روش مثبت و منفی بودن معیارها در تعیین وزن دخیل نیست. در شکل زیر یک نمونه ساده از یک ماتریس تصمیم آورده شده است.
هدف از این مثال انتخاب بهترین موبایل از میان گوشی های موجود است.
| معیارها | قیمت | ظرفیت | دوربین | ظاهر |
| Mobile 1 | 250 | 16 | 12 | 5 |
| Mobile 2 | 200 | 16 | 8 | 3 |
| Mobile 3 | 300 | 32 | 16 | 4 |
| Mobile 4 | 275 | 32 | 8 | 4 |
| Mobile 5 | 225 | 16 | 16 | 2 |
| بهترین | 200 | 32 | 16 | 5 |
| بدترین | 300 | 16 | 8 | 2 |
نرمال سازی
گام دوم در این روش نرمال سازی ماتریس تصمیم است. برای نرمال سازی از رابطه زیر استفاده می شود. با استفاده از این رابطه ماتریس تصمیم نرمال شده و کلیه درایه های آن در بازه صفر تا 1 قرار می گیرند.

| Mobile 1 | 0.50 | 0.00 | 0.50 | 1.00 |
| Mobile 2 | 1.00 | 0.00 | 0.00 | 0.33 |
| Mobile 3 | 0.00 | 1.00 | 1.00 | 0.67 |
| Mobile 4 | 0.25 | 1.00 | 0.00 | 0.67 |
| Mobile 5 | 0.75 | 0.00 | 1.00 | 0.00 |
محاسبه اوزان
در گام سوم وزن معیارها تعیین می شود در فرآیند تعیین وزن معیارها، انحراف معیار هر شاخص و همبستگی آن با معیارهای دیگر گنجانده شده است. در این رابطه، وزن jامین معیار Wj نامیده می شود.

| SD | Sum | Cj | Wj | W Per | |
| price | 0.395 | 4.737 | 1.872 | 0.272 | 27.16% |
| storage | 0.548 | 3.546 | 1.942 | 0.282 | 28.17% |
| camera | 0.500 | 3.535 | 1.768 | 0.256 | 25.64% |
| looks | 0.380 | 3.454 | 1.313 | 0.190 | 19.04% |
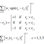
که در آن Wj معرف وزن معیار j و Ci معرف میزان اطلاعات مجموع معیارهای k اسـت کـه از 1=k شـروع شده وتـا k=m ادامـه دارد. Cj مقدار اطلاعات استخراج شده از معیار j است که از رابطه زیر بدست می آید.

| Mobile 1 | 0.50 | 0.00 | 0.50 | 1.00 |
| Mobile 2 | 1.00 | 0.00 | 0.00 | 0.33 |
| Mobile 3 | 0.00 | 1.00 | 1.00 | 0.67 |
| Mobile 4 | 0.25 | 1.00 | 0.00 | 0.67 |
| Mobile 5 | 0.75 | 0.00 | 1.00 | 0.00 |
با توجه به روابط فوق، معیـارهـایی کـه دارای Cj بیشـتری باشـند وزن زیــادی بـه خـود اختصــاص خواهند داد. همچنین در رابطه بالا σj انحراف معیار jامین معیار است و rij همبستگی بین دو معیار i و j می باشد.
بر اساس تحلیل فوق، می توان نتیجه گرفت که ارزش بالاتری از Cj مقدار بیشتری از اطلاعات را از معیار داده شده ارائه می دهد بنابراین اهمیت نسبی معیار برای یک مسئله تصمیم گیری مورد توجه بیشتری است.
