در دنیای پرشتاب امروز، تصمیمگیریهای پیچیده و چندمعیاره به چالشی جدی برای افراد و سازمانها تبدیل شده است. زمانی که با گزینههای متعدد و معیارهای مختلفی روبهرو هستیم، انتخاب بهترین گزینه به سادگی امکانپذیر نیست. در چنین شرایطی، روشهای تصمیمگیری چندمعیاره (MCDM) به کمک ما میآیند. یکی از قدرتمندترین و پرکاربردترین این روشها، روش EXPROM است.
روش EXPROM یا PROMETHEE توسعهیافته، روشی است که به ما اجازه میدهد تا در تصمیمگیریهای پیچیده، گزینههای مختلف را با در نظر گرفتن چندین معیار به طور همزمان مقایسه و رتبهبندی کنیم. این روش با استفاده از توابع ترجیح و مقایسههای زوجی، به ما کمک میکند تا به یک تصمیم آگاهانه و منطقی برسیم.

در این مقاله، قصد داریم به طور جامع روش EXPROM را بررسی کنیم و کاربردهای آن را در حوزههای مختلف مورد تحلیل قرار دهیم. اگر شما نیز با تصمیمگیریهای پیچیدهای مواجه هستید و به دنبال روشی موثر برای انتخاب بهترین گزینه هستید، مطالعه این مقاله را به شما توصیه میکنیم. در ادامه، به بررسی مفاهیم پایه، مراحل اجرا، مزایا و کاربردهای روش EXPROM خواهیم پرداخت.
آنچه می خوانید
روش EXPROM چیست؟
قبل از پرداختن به EXPROM، لازم است به روش PROMETHEE، پایه و اساس EXPROM، اشاره کنیم. این روش در دهه 1980 توسط ژان-پیر برانس (Jean-Pierre Brans) و همکارانش در دانشگاه بروکسل معرفی شد. PROMETHEE روشی ساده و در عین حال قدرتمند برای رتبهبندی گزینهها بر اساس چندین معیار بود. این روش با استفاده از توابع ترجیح، مقایسههای زوجی بین گزینهها را انجام داده و به یک رتبهبندی کلی دست مییابد.
با پیشرفت تکنولوژی و پیچیدگی مسائل تصمیمگیری، نیاز به ابزارهای قدرتمندتری برای تحلیل و تصمیمگیری احساس شد. در همین راستا، روش EXPROM به عنوان توسعهای بر روش PROMETHEE معرفی شد. EXPROM با افزودن قابلیتهای جدید و بهبود ساختار، توانایی مدلسازی مسائل پیچیدهتر و ارائه نتایج دقیقتر را فراهم کرد.
برخی از ویژگیهای جدید EXPROM نسبت به PROMETHEE عبارتند از:
- انعطافپذیری بیشتر در انتخاب توابع ترجیح: EXPROM طیف گستردهتری از توابع ترجیح را پشتیبانی میکند که به مدلسازی بهتر ترجیحات تصمیمگیرنده کمک میکند.
- قابلیت تحلیل حساسیت: EXPROM به تصمیمگیرندگان اجازه میدهد تا تأثیر تغییرات در وزن معیارها یا توابع ترجیح را بر روی نتایج نهایی بررسی کنند.
- قابلیت مدیریت عدم قطعیت: EXPROM میتواند در شرایطی که اطلاعات کاملی در مورد مسئله وجود ندارد، مورد استفاده قرار گیرد.
روش EXPROM یک روش تصمیمگیری چندمعیاره است که برای رتبهبندی و انتخاب بهترین گزینه از میان مجموعه ای از گزینهها، با توجه به چندین معیار مختلف استفاده میشود. این روش بر اساس مقایسههای زوجی بین گزینهها و استفاده از توابع ترجیح برای مدلسازی ترجیحات تصمیمگیرنده کار میکند.

EXPROM به عنوان یک توسعهیافته از روش PROMETHEE شناخته میشود و قابلیتهای بیشتری را برای مدلسازی مسائل پیچیده تصمیمگیری ارائه میدهد. در این روش، به هر گزینه یک امتیاز جریان خالص اختصاص داده میشود که نشاندهنده ترجیح کلی نسبت به سایر گزینهها است. سپس، گزینهها بر اساس امتیاز جریان خالص خود رتبهبندی میشوند.
مزایای روش EXPROM
روش EXPROM مزایای متعددی دارد که آن را به یکی از محبوبترین روشهای تصمیمگیری چندمعیاره تبدیل کرده است:
- سادگی و قابل فهم بودن: این روش نسبت به سایر روشهای تصمیمگیری چندمعیاره سادهتر بوده و مفاهیم آن به راحتی قابل درک است.
- انعطافپذیری: EXPROM قابلیت مدلسازی انواع مختلف مسائل تصمیمگیری با استفاده از توابع ترجیح مختلف را دارد.
- شفافیت: مراحل اجرای این روش شفاف بوده و نتایج به دست آمده قابل توجیه هستند.
- قابلیت استفاده در مسائل پیچیده: EXPROM میتواند برای حل مسائل پیچیده تصمیمگیری با تعداد زیادی گزینه و معیار استفاده شود.
کاربردهای روش EXPROM
روش EXPROM در حوزههای مختلفی قابل استفاده است، از جمله:
- انتخاب پروژه: برای انتخاب بهترین پروژه از میان چندین پروژه با توجه به معیارهای مختلف مانند هزینه، زمان اجرا، کیفیت و …
- انتخاب تامینکننده: برای انتخاب بهترین تامینکننده از میان چندین تامینکننده با توجه به معیارهایی مانند قیمت، کیفیت، زمان تحویل و …
- ارزیابی ریسک: برای ارزیابی ریسکهای مرتبط با پروژهها و تصمیمگیری در مورد اقدامات کاهش ریسک
- تخصیص منابع: برای تخصیص منابع محدود به فعالیتهای مختلف با توجه به اهمیت و اولویت آنها
- طراحی محصول: برای طراحی محصولات جدید با توجه به نیازهای مشتریان و محدودیتهای فنی و اقتصادی
مراحل اجرای روش EXPROM
روش EXPROM یک روش قدرتمند و ساختارمند برای تصمیمگیری در شرایطی است که با چندین معیار مواجه هستیم. این روش با ارائه یک چارچوب مشخص، به ما کمک میکند تا گزینههای مختلف را با در نظر گرفتن تمام جوانب، مقایسه و بهترین گزینه را انتخاب کنیم. مراحل کلی اجرای روش EXPROM به شرح زیر است:
1) ایجاد ماتریس تصمیمگیری:
ماتریس تصمیمگیری، ماتریسی است که شامل مقادیر گزینههای مختلف (i) برای هر معیار (j) میباشد.

2) نرمالسازی ماتریس تصمیمگیری:
برای نرمال سازی ماتریس از فرمول زیر برای شاخص های سود و هزینه استفاده می شود. مقدار rij ماتریس نرمال شده i بیان گر گزینه و j بیان گر شاخص است.

3) انتخاب توابع ترجیح
- نوع رابطه: برای هر معیار، نوع رابطه بین مقدار آن معیار و ترجیح تصمیمگیرنده را مشخص کنید. این رابطه میتواند خطی، V شکل، U شکل یا سطحی باشد.
- تابع مناسب: بر اساس نوع رابطه، تابع ترجیح مناسبی را برای هر معیار انتخاب کنید. توابع ترجیح نشان میدهند که افزایش یا کاهش مقدار یک معیار تا چه اندازه بر ترجیح تصمیمگیرنده تأثیر میگذارد.



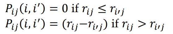
توجه کنید در برخی از مقالات توابع ترجیح را به صورت زیر در نظر می گیرند:

به طوری که Pij بیان گر تابع ترجیح، i گزینه و i’ گزینه ای که در حال مقایسه است.
4) محاسبه مقدار ترجیح ضعیف (WP)
محاسبه شاخص ترجیح ضعیف و در نظر گرفتن وزنهای متفاوت برای هر معیار، معادله به صورت زیر است:

به طوری که WP ترجیح ضعیف،n تعداد شاخص و Wj وزن هر شاخص می باشد.
5) محاسبه مقدار ترجیح قوی (SP)
محاسبه شاخص ترجیح قوی از طریق معادله حساب می گردد:

به طوری که SP ترجیح قوی و dj اختلاف بین دو گزینه rij و rij’ می باشد.
6) محاسبه مقدار ترجیح دقیق (SP) وزن دار
محاسبه ارزش ترجیحی دقیق (SP) به صورت زیر می باشد:

به طوری که SP ترجیح قوی ،n تعداد شاخص و Wj وزن گزینه ها می باشد.
7) محاسبه مقدار کل ترجیحات برگزیده (TP)
محاسبه مقدار کل ترجیحات برگزیده به صورت زیر می باشد:

8) محاسبه جریان ورودی و خروجی
جریان های ورودی و خروجی را با استفاده از معادله محاسبه کنید:

برای جهت خروجی (مثبت) در جایگزین i، که m تعداد گزینه و n تعداد شاخص است.

برای جهت ورودی (منفی) در جایگزین i، که m تعداد گزینه و n تعداد شاخص است.
خروجی به این معنی است که چه تعداد جایگزین بر سایر جایگزین ها تسلط دارند، در حالی که ورودی به این معناست که چه تعداد جایگزین تحت سلطه سایر جایگزین ها هستند.
9) محاسبه جریان خالص
از محاسبه و تفریق جریان ورودی بر خروجی جریان خالص به صورت زیر محاسبه می شود:

10) رتبه بندی گزینه ها
رتبه بندی همه گزینه های در نظر گرفته شده به مقادیر phi(i) بستگی دارد. هر چه مقدار phi(i) بیشتر باشد، جایگزین بهتر است.
بنابراین، بهترین جایگزین آنی است که بالاترین مقدار phi(i) را داشته باشد.
مثال روش EXPROM
داده های ارزیابی معیارهای مورد استفاده از نتایج تحقیق به دست آمده است. با استفاده از روش Extended Promothee II (EXPROM II) حل مثال به صورت زیر است:

در این مثال اوزان به ترتیب: 0.41,0.24,0.16,0.1,0.06,0.03
1) ماتریس تصمیم نرمال شده: در ابتدا، مقادیر ماتریس تصمیم را نرمال می کنیم.

w1 =0.619, w2 = 0.381, w3 = 0.238, w4 =1, w5 =0.143
2) درجه برتری: در این مرحله، مقادیر شاخص ترجیحی گزینه ها به صورت زیر محاسبه می شود:

3) درجه تسلط کلی: مقادیر ضعیف، قوی و تسلط کلی به صورت زیر محاسبه می شود:

4) محاسبه جریان ورودی و خروجی و رتبه بندی گزینه ها

محاسباتی که از 6 گزینه انجام شده است بهترین جایگزین را به دست می دهد که در جدول قابل مشاهده است، یعنی گزینه F4 با نام برنامه PhyWiz با مقدار 0.962 به عنوان بالاترین امتیاز.
آینده روش EXPROM
با توجه به پیشرفتهای اخیر در حوزه هوش مصنوعی و یادگیری ماشین، انتظار میرود که روش EXPROM نیز با این فناوریها ادغام شده و قابلیتهای جدیدی پیدا کند. به عنوان مثال، میتوان از الگوریتمهای یادگیری ماشین برای یادگیری ترجیحات تصمیمگیرندگان و بهبود دقت مدل استفاده کرد.
در مجموع، روش EXPROM به عنوان یک ابزار قدرتمند و انعطافپذیر برای تصمیمگیری چندمعیاره، نقش مهمی در حل مسائل پیچیده در حوزههای مختلف ایفا میکند.
نحوه انتخاب مناسبترین روش تصمیمگیری چند معیاره
انتخاب مناسبترین روش تصمیمگیری چند معیاره به عوامل مختلفی مانند تعداد معیارها، نوع دادهها، اهمیت دقت نتایج و … بستگی دارد. در انتخاب روش مناسب، باید به نکات زیر توجه کرد:
- سادگی و سهولت استفاده: روشی که انتخاب میشود باید ساده و قابل فهم باشد.
- دقت نتایج: روش انتخاب شده باید نتایج دقیقی را ارائه دهد.
- قابلیت انعطافپذیری: روش انتخاب شده باید قابلیت انطباق با مسائل مختلف را داشته باشد.
- در دسترس بودن نرمافزار: وجود نرمافزار مناسب برای اجرای روش انتخاب شده، بسیار مهم است.
نتیجه گیری
روش EXPROM یک ابزار قدرتمند برای تصمیمگیری در شرایط پیچیده است. این روش به تصمیمگیرندگان کمک میکند تا گزینههای مختلف را با در نظر گرفتن چندین معیار به طور همزمان مقایسه و بهترین گزینه را انتخاب کنند. با استفاده از EXPROM، تصمیمگیرندگان میتوانند اطمینان حاصل کنند که تصمیمات آنها بر اساس اطلاعات دقیق و منطقی گرفته شده است.
برای مشاوره در مورد انتخاب روش مناسب برای تصمیمگیری در یک مسئله خاص، میتوانید با متخصصان در زمینه MCDM مشورت کنید.
سوالات متداول در مورد روش EXPROM
تفاوت بین روش EXPROM و سایر روشهای تصمیمگیری چندمعیاره چیست؟
روش EXPROM یکی از روشهای تصمیمگیری چندمعیاره است که بر اساس مقایسههای زوجی و توابع ترجیح کار میکند. این روش در مقایسه با سایر روشها، مانند روش AHP، سادگی و انعطافپذیری بیشتری دارد.
چه زمانی باید از روش EXPROM استفاده کنیم؟
زمانی که با مسئله تصمیمگیری پیچیدهای روبهرو هستیم که در آن چندین معیار باید در نظر گرفته شود، استفاده از روش EXPROM میتواند بسیار مفید باشد.
آیا میتوان از روش EXPROM برای تصمیمگیری گروهی استفاده کرد؟
بله، روش EXPROM را میتوان برای تصمیمگیری گروهی نیز استفاده کرد. در این حالت، ابتدا ترجیحات هر یک از اعضای گروه جمعآوری شده و سپس یک ترجیح گروهی ایجاد میشود.
آیا روش EXPROM محدودیتهایی دارد؟
بله، روش EXPROM نیز مانند سایر روشهای تصمیمگیری محدودیتهایی دارد. یکی از محدودیتهای آن، نیاز به تعیین وزنهای دقیق برای معیارها است. همچنین، انتخاب تابع ترجیح مناسب نیز میتواند چالشبرانگیز باشد.
آیا میتوان از نرمافزارهای اکسل برای اجرای روش EXPROM استفاده کرد؟
بله، میتوان از نرمافزارهای اکسل برای اجرای روش EXPROM استفاده کرد. اما استفاده از نرمافزارهای تخصصی مانند Visual PROMETHEE به دلیل قابلیتهای بیشتر و دقت بالاتر توصیه میشود.
