آموزش جامع مرتب سازی فازی
در بسیاری از سناریوهای مدیریتی، ما نیازی به ردیف کردن گزینهها از ۱ تا n نداریم. برای مثال، یک پزشک نمیخواهد بداند کدام بیمار “کمی بدتر” از دیگری است، بلکه میخواهد بداند بیمار در کدام دسته قرار میگیرد: “وضعیت بحرانی”، “نیازمند بستری” یا “ترخیص”. مرتب سازی فازی (Fuzzy Sorting) فرآیند تخصیص مجموعهای از گزینهها به کلاسها یا دستههای از پیش تعریف شده است که مرز بین این دستهها با استفاده از منطق فازی و ابهام تعریف شده است.
تفاوت بنیادین اینجا در “نیت تصمیم گیری” است. در رتبه بندی اعداد فازی، ما به دنبال برتری نسبی هستیم، اما در مرتب سازی فازی، ما به دنبال “عضویت در کلاس” هستیم. کلاسها معمولاً دارای ترتیب هستند (مثلاً از ریسک کم تا ریسک زیاد)، اما هر گزینه به طور مستقل با استانداردهای هر کلاس (Profiles) مقایسه میشود. این رویکرد به ویژه در سیستمهای غربالگری و اعتبارسنجی که حجم دادهها بالاست، کارایی بسیار بیشتری نسبت به رتبه بندی ساده دارد.

در سال ۲۰۲۶، با ظهور مدلهای دقیقتر در مهندسی صنایع، مرتب سازی فازی به ابزاری حیاتی برای “مدیریت استثنائات” تبدیل شده است. مدیران به جای بررسی تکتک پروژهها، تنها روی پروژههایی تمرکز میکنند که در کلاس “بحرانی” قرار گرفتهاند. این مقاله در فرابگیر به شما کمک میکند تا این متدولوژی پیشرفته را در پژوهشهای خود پیاده سازی کنید و تفاوت سطح علمی خود را با کارهای معمولی نشان دهید.
آنچه می خوانید
ساختار کلاس ها و پروفایل های مرزی (Boundaries)
در یک مسئله مرتب سازی فازی، اولین قدم تعریف کلاسها است. برخلاف مرتب سازی کلاسیک که در آن مرزها قطعی هستند (مثلاً نمره بالای ۱۷ یعنی ممتاز)، در اینجا مرزها با استفاده از “پروفایلهای فازی” (Fuzzy Profiles) تعریف میشوند. هر کلاس توسط دو مرز (بالایی و پایینی) محدود شده است که خود این مرزها اعداد فازی هستند. این کار باعث میشود گزینههایی که در “مرز” دو دسته قرار دارند، با دقت بیشتری تحلیل شوند.
مفهوم “درجه عضویت” در اینجا نقش کلیدی ایفا میکند. یک گزینه میتواند با درجه ۰.۸ به کلاس “خوب” و با درجه ۰.۲ به کلاس “متوسط” تعلق داشته باشد. این ویژگی به تصمیم گیرنده اجازه میدهد تا بفهمد یک گزینه با چه اطمینانی در یک دسته قرار گرفته است. این سطح از تحلیل در تصمیم گیری چند معیاره فازی بسیار ارزشمند است، چرا که از قضاوتهای عجولانه و قطعی درباره گزینههای مرزی جلوگیری میکند.
ما در آموزشهای فرابگیر تاکید میکنیم که طراحی این پروفایلها باید با دقت و بر اساس دانش خبرگان یا دادههای تاریخی انجام شود. اگر پروفایلها به درستی تعریف نشوند، خروجی مرتب سازی فازی معتبر نخواهد بود. برای مثال در ارزیابی عملکرد کارکنان، پروفایل “کارمند نمونه” باید به گونهای تعریف شود که ویژگیهای برجسته را در محیط ابهام به خوبی پوشش دهد.
روش های شاخص در مرتب سازی فازی
برای اجرای مرتب سازی فازی، متدولوژیهای خاصی طراحی شدهاند که با روشهای رتبه بندی متفاوت هستند. در ادامه به برخی از معتبرترین آنها اشاره میکنیم:
۱. روش AHPSort فازی (Fuzzy AHPSort)
این روش برای زمانی است که تعداد گزینههای شما بسیار زیاد است و نمیتوانید همه را دو به دو با هم مقایسه کنید. در عوض، کلاسها را تعریف کرده و گزینهها را با “پروفایلهای معرف” هر کلاس میسنجید.
گامهای اجرایی:
- تعیین شاخصها و وزندهی: ابتدا با استفاده از آموزش جامع روش AHP فازی، وزن شاخصها (w_j) را به دست میآوریم.
- تعریف کلاسها و پروفایلهای مرجع: برای هر کلاس (مثلاً کلاس C_k)، یک عدد فازی مرجع ({R}_k) تعریف میکنیم که نشاندهنده حد آستانه آن کلاس است.
- مقایسه گزینه با پروفایل: هر گزینه A_i با پروفایلهای مرجع مقایسه میشود.
در اینجا از همان منطق “درجه امکان” که فرستادید استفاده میشود. اگر امتیاز فازی گزینه شما {S}_i و پروفایل مرز کلاس عالی {R}_{best} باشد، داریم:

مثال: فرض کنید امتیاز یک کارمند عدد فازی I={0.8/7 + 1/9} است و مرز “کارمند ممتاز” عدد J={1/8 + 0.5/10} است.
محاسبات:
min(mu_I(7), mu_J(8)) = min(0.8, 1) = 0.8
min(mu_I(9), mu_J(8)) = min(1, 1) = 1
پس V(I>=J) = 1. این یعنی کارمند با درجه امکان ۱ در طبقه ممتاز قرار میگیرد.
۲. روش FlowSort فازی (Fuzzy FlowSort)
این روش مبتنی بر “جریانهای ترجیح” است و برای مسائلی که دارای معیارهای کیفی متعددی هستند، بسیار دقیق عمل میکند.
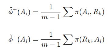
در این روش، ما “جریان خالص” (phi) را برای گزینه A_i نسبت به پروفایلهای مرزی (R_k) محاسبه میکنیم.
جریان خروجی فازی (phi+) و جریان ورودی فازی (phi-) به صورت زیر تعریف میشوند:

که در آن pi تابع ترجیح فازی بین گزینه و مرز کلاس است.
مثال: فرض کنید میخواهید شهرها را از نظر “آلودگی هوا” مرتب سازی کنید.
- کلاسها: پاک، متوسط، خطرناک.
- پروفایل مرزی (R1): عدد فازی نشاندهنده حداکثر آلودگی برای کلاس “پاک”.
- اگر جریان خروجی شهر A از مرز R1 بیشتر باشد (phi_{A} >phi_{R1})، شهر از دسته پاک خارج شده و به دسته متوسط میرود.
این روش به دلیل استفاده از تابع ترجیح، نسبت به تغییرات کوچک در دادهها بسیار پایدار است. در سایت فرابگیر، ما این روش را برای پروژههای زیستمحیطی اکیداً توصیه میکنیم.
۳. روش ELECTRE-TRI فازی (Fuzzy ELECTRE-TRI)
این روش بر اساس مفهوم “روابط برتری” (Outranking) کار میکند و یکی از سختگیرانهترین روشهای مرتب سازی است.
منطق محاسباتی:
در اینجا ما به دنبال برقراری رابطه A_i sigma R_k هستیم؛ یعنی “گزینه A_i حداقل به خوبی مرز R_k است”. برای اثبات این جمله، دو شاخص محاسبه میشود:
- شاخص موافقت (Concordance): چه میزانی از معیارها تایید میکنند که گزینه در این کلاس است؟
- شاخص مخالفت (Discordance): آیا معیاری وجود دارد که با قدرت تمام، حضور گزینه در این کلاس را رد کند؟ (وتو کردن).
فرمول شاخص موافقت فازی:

مثال: در انتخاب واحد مسکونی، اگر تمام معیارها (قیمت، متراژ، محله) عالی باشند اما “امنیت” بسیار ضعیف باشد، روش ELECTRE-TRI با استفاده از قدرت وتو، اجازه نمیدهد این واحد در کلاس “لوکس” قرار بگیرد، حتی اگر میانگین امتیازاتش بالا باشد. این ویژگی “وتو” در هیچکدام از روشهای دیگر تصمیم گیری چند معیاره فازی وجود ندارد.
۴. روش TOPSIS-Sort فازی
این متد ترکیبی از روش محبوب تاپسیس و منطق مرتب سازی است. در اینجا به جای ایده آل مثبت و منفی، “فاصله از پروفایلهای هر کلاس” سنجیده میشود.
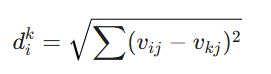
فرمول فاصله فازی:
برای هر گزینه، فاصله از حد پایین (b_k) و حد بالای (b_{k+1}) هر کلاس محاسبه میشود:

سپس شاخص نزدیکی نسبی (CC_i) محاسبه شده و گزینه به کلاسی تخصیص مییابد که کمترین فاصله را با مرکز آن کلاس داشته باشد. این روش برای کسانی که با آموزش جامع روش TOPSIS فازی آشنا هستند، سادهترین راه برای ورود به دنیای مرتب سازی است.
استفاده از این روشها نیازمند تسلط بر مفاهیم پایه ای مثل رتبه بندی اعداد فازی است، زیرا در بطن بسیاری از این متدها، مقایسه بین گزینه و پروفایل مرزی انجام میشود. ما در بخش محصولات فرابگیر، اکسلهای آمادهای برای روشهای AHPSort و FlowSort تهیه کردهایم تا دانشجویان بتوانند بدون درگیری با فرمولهای سنگین، خروجیهای خود را دریافت کنند.
کاربرد مرتب سازی فازی در مدیریت ریسک و اعتبارسنجی
یکی از درخشانترین کاربردهای مرتب سازی فازی در حوزه مدیریت ریسک است. در پروژههای بزرگ عمرانی یا نفتی، ریسکها به صدها مورد میرسند. رتبه بندی این ریسکها از ۱ تا ۵۰۰ کمک چندانی به مدیر نمیکند. اما مرتب سازی آنها در دستههای “ریسک غیرقابل قبول”، “ریسک متوسط” و “ریسک ناچیز” یک استراتژی عملیاتی ارائه میدهد.

در حوزه اعتبارسنجی بانکی (Credit Scoring) نیز، مرتب سازی فازی انقلابی به پا کرده است. بانکها به جای رد یا تایید قطعی وام، مشتریان را در کلاسهای مختلف اعتباری قرار میدهند. مشتریانی که در مرز بین “پذیرش” و “عدم پذیرش” هستند، برای بررسی بیشتر به کمیتههای تخصصی ارجاع داده میشوند. این کار نرخ خطای نوع اول و دوم را در سیستمهای بانکی به شدت کاهش میدهد.
همچنین در خوشه بندی فازی Fuzzy Clustering، ما گاهی از منطق مرتب سازی استفاده میکنیم تا خوشهها را بر اساس اهمیت، مرتب و نام گذاری کنیم. این پیوستگی بین روشهای مختلف نشان میدهد که مرتب سازی فازی یک جزیره جدا افتاده نیست، بلکه ابزاری مکمل برای تمام مدلهای تصمیم گیری چند معیاره فازی است.
جدول مقایسه ای روش های مرتب سازی فازی
در مرتب سازی فازی، هدف اصلی فراتر از یک رتبهبندی ساده است؛ در اینجا ما با مفهوم «تخصیص مرزی» روبرو هستیم. برخلاف روشهای رتبهبندی که گزینهها را با یکدیگر مقایسه میکنند تا یک صف خطی تشکیل دهند، در مرتبسازی فازی هر گزینه به صورت مستقل با مجموعهای از پروفایلهای مرجع (Reference Profiles) سنجیده میشود.
این پروفایلها در واقع نقش «استاندارد» یا «کف و سقف» هر طبقه را بازی میکنند. به همین دلیل، مرتبسازی فازی بهترین ابزار برای سیستمهای غربالگری (Screening) است، جایی که هدف ما این است که بدانیم آیا یک گزینه به استانداردهای یک کلاس خاص (مثلاً کلاس «پروژههای استراتژیک») میرسد یا خیر، بدون آنکه عملکرد آن تحت تاثیر قدرت یا ضعف سایر گزینهها قرار بگیرد.
یکی از ستونهای ریاضی این فرآیند، استفاده از درجه امکان (Possibility Degree) است که در مثال قبلی شما نیز به خوبی مشهود بود. در محیطهای غیرقطعی، مرز بین دو کلاس (مثلاً مرز بین ریسک متوسط و ریسک زیاد) یک خط باریک نیست، بلکه یک ناحیه همپوشانی فازی است.
| نام روش | مبنای ریاضی و منطق | نیاز به وزندهی | ویژگی منحصربهفرد | بهترین کاربرد |
| Fuzzy AHPSort | مقایسه زوجی با پروفایلهای مرجع | بله (فرایند AHP) | سرعت بسیار بالا در تخصیص انبوه | ارزیابی عملکرد کارکنان، رتبهبندی اعتباری |
| Fuzzy FlowSort | جریانهای ترجیح (PROMETHEE) | بله (مستقیم یا آنتروپی) | عدم نیاز به مقایسه گزینهها با هم | مدیریت پسماند، مکانیابی صنعتی |
| Fuzzy ELECTRE-TRI | روابط غلبه (Outranking) | بله (سختگیرانه) | قابلیت وتو (Veto) | پزشکی، امنیت، صنایع نظامی |
| Fuzzy TOPSIS-Sort | فاصله از پروفایل کلاسها | بله | درک بصری و محاسباتی ساده | بازاریابی، دستهبندی مشتریان |
| Fuzzy VIKOR-Sort | راه حل توافقی و فاصله | بله | تمرکز بر سود اکثریت و مخالفت اقلیت | انتخاب تامینکننده در شرایط بحران |
| Fuzzy PROMETHEE-S | جریان خالص فازی | بله | پایداری بسیار بالا در برابر دادههای پرت | رتبهبندی کشورهای در حال توسعه |
متدهای مرتبسازی با استفاده از عملگرهای $MAX-MIN$، میزان نفوذ عدد فازیِ گزینه را در فضای کلاسهای مختلف محاسبه میکنند. این رویکرد به تصمیمگیرنده اجازه میدهد تا با تعیین یک حد آستانه (Cut-off Level)، شدت سختگیری خود را تنظیم کند. برای مثال، در یک سناریوی حساس نظامی یا پزشکی، حد آستانه را به گونهای تنظیم میکنند که حتی با کوچکترین احتمالِ خطر، گزینه در کلاس «بحرانی» قرار بگیرد تا بررسیهای انسانی بیشتری روی آن صورت گیرد.
در نهایت، تفاوت کلیدی که در جدول زیر نیز مشاهده خواهید کرد، در نوع خروجی و پایداری مدلهاست. در حالی که رتبهبندی با کوچکترین تغییر در دادههای یکی از گزینهها ممکن است کل ترتیب را جابجا کند، مرتب سازی فازی به دلیل ماهیت دستهبندیاش، پایداری بسیار بالاتری نشان میدهد. این متدها (مانند FlowSort یا AHPSort) به گونهای طراحی شدهاند که به «تضاد معیارهای کیفی» پاسخ دهند.
یعنی اگر گزینهای در یک معیار بسیار قوی و در دیگری ضعیف باشد، مدل به جای میانگینگیری ساده، بر اساس «رابطه غلبه فازی» تصمیم میگیرد که این گزینه شایستگی حضور در کدام طبقه را دارد. این همان دانشی است که در سال ۲۰۲۶، تفاوت بین یک تحلیلگر آماتور و یک متخصص داده را در پروژههای صنعتی رقم میزند.
پرسش های متداول (FAQ)
آیا مرتب سازی فازی همان خوشه بندی (Clustering) است؟
خیر؛ در خوشه بندی، کلاسها از قبل تعریف نشدهاند و سیستم بر اساس شباهت دادهها آنها را دسته بندی میکند. اما در مرتب سازی فازی، کلاسها و پروفایلهای آنها توسط تصمیم گیرنده از قبل مشخص شدهاند.
چه زمانی به جای رتبه بندی از مرتب سازی استفاده کنیم؟
زمانی که تعداد گزینهها بسیار زیاد است و هدف شما گروه بندی آنها برای اتخاذ تصمیمات مدیریتی متفاوت برای هر گروه است (مثل دسته بندی تامین کنندگان به استراتژیک، معمولی و ضعیف).
آیا خروجی مرتب سازی فازی می تواند به عدد قطعی تبدیل شود؟
بله، با استفاده از روشهای دی فازی سازی، میتوان درجه عضویت در هر کلاس را به یک نمره نهایی تبدیل کرد، اما ارزش اصلی این روش در حفظ همان اطلاعات دستهای است.
نتیجه گیری و جمع بندی
مرتب سازی فازی ابزاری قدرتمند برای ساده سازی مسائل پیچیده و حجیم است. این روش به شما اجازه میدهد تا به جای غرق شدن در جزئیات رتبه بندیهای تکتک گزینهها، بر روی دستههای کلان و استراتژیک تمرکز کنید. با استفاده از متدهایی مثل AHPSort و FlowSort در محیط فازی، دقت تصمیمات شما در مرزهای مبهم به شدت افزایش مییابد.
ما در سایت فرابگیر پیشنهاد میکنیم اگر در پروژه خود با بیش از ۲۰ گزینه روبرو هستید، حتماً از رویکرد مرتب سازی فازی استفاده کنید. این کار نه تنها تحلیل شما را واقعگرایانهتر میکند، بلکه در گزارشهای مدیریتی نیز خروجیهای بسیار جذابتر و کاربردیتری ارائه میدهد.
