روش MOORA
روش MOORA
روش MOORA ، که برای اولین بار توسط (Brauers (2004 معرفی شده است ، روشی بهینه سازی چندهدفه است که با موفقیت می تواند برای حل انواع مختلفی از مسائل تصمیم گیری پیچیده در محیط تولید استفاده شود.
روش MOORA (Brauers، et al. 2006، 2008، 2009، Kalibatas، et al. 2008، Lootsma، 1999) با یک ماتریس تصمیم گیری شروع می کند که عملکرد گزینه های مختلف را با توجه به شاخص های مختلف (اهداف) نشان می دهد.
روش Moora مورا
روش مورا (moora) از تکنیک های نسبتا جدید تصمیم گیری چند معیاره است که در سال 2006 توسط برایرز و زاوادسکاس ارائه شد. این واژه از حروف اول عبارت Multi-Objective Optimization on the basis of Ratio Analysis به معنی بهینه سازی چند هدفه بر اساس تجزیه و تحلیل نسبت گرفته شده است.
آنها در این پژوهش برای روش مورا دو رویکرد ارائه دادند یکی رویکرد سیستم نسبت و دیگری رویکرد نقطه مرجع.
روش MOORA روش MOORA روش MOORA روش MOORA
آنها در پژوهش خود و در مثالی که در مقاله خود آوردند برای رتبه بندی گزینه ها از وزن معیارها استفاده نکردند.
اما بیان داشتند که برای دقت بیشتر روش می توان وزن معیارها را نیز در نظر گرفت. به هر حال در مواردی که دسترسی به وزن معیارها ممکن نباشد نیز می توان گزینه ها را رتبه بندی نمود.
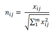
برای نرمال کردن داده نیز از روش جذر مجموع مربعات استفاده می شود.
در مدل های تصمیم گیری چند معیاره (MCDM) یا هدف وزن دهی به معیار است یا هدف رتبه بندی گزینه است.
روش فعلی که معرفی شده است از نوع رتبه بندی گزینه ها است.
تاریخچه
Karande و Chakraborty در سال 2012، از روش MOORA برای انتخاب مواد استفاده کردند. Brauers و همکاران (2012) نیز مساله انتخاب مواد را در نظر گرفتند.
با این حال ، آنها در انتخاب عناصر برای نوسازی ساختمان که برای صرفه جویی در مصرف انرژی در ساختمان ها مهم هستند ، متمرکز شدند. Brauers و Zavadskas در سال 2012، از MOORA و MULTIMOORA به عنوان پایه ای برای تشکیل سیستم پشتیبانی از تصمیم گیری چند شاخصه استفاده کردند.
این سیستم پشتیبانی از تصمیم گیری چند شاخصه برای انتخاب پروژه ها در نظر گرفته شده است و در صنعت نساجی تونس آزمایش شدند. Balezentis و همکاران (2012) از MULTIMOORA برای حل مساله انتخاب پرسنل استفاده کردند.
Baležentis و همکاران (2011) و Brauers و همکاران (2012) نیز از روش MULTIMOORA برای ارزیابی اجرای استراتژی های اتحادیه اروپا استفاده کردند.
Streimikiene و همکاران (2012) از روش MULTIMOORA استفاده کردند تا چارچوب پشتیبانی از تصمیم گیری چند معیاری را برای انتخاب پایدارترین فن آوری های تولید برق تولید کنند.
گام های روش مورا (MOORA)
تشکیل ماتریس تصمیم:
اولین گام در روش مورا تشکیل ماتریس تصمیم روش مورا شامل ماتریس معیار-گزینه میباشد و سلولهای ماتریس امتیاز هر گزینهها نسبت به آن معیار میباشد. هر درایه ماتریس تصمیم را با xij نشان میدهند.

همچنین نوع معیارها و وزن معیارها باید مشخص باشد. منظور از نوع معیار یعنی مشخص شود که معیار جنبه مثبت دارد یا منفی. معیارهای مثبت معیارهایی هستند که هرچقدر افزایش یابند برای سیستم بهتر هستند مانند کیفیت.
معیارهای منفی معیارهایی هستند که هر چقدر کاهش یابند برای سیستم بهتر هستند مانند هزینه یا سختی کار.
وزن معیارها نیز باید با استفاده از روشهای دیگر از جمله روش آنتروپی، روش IDOCRIW ، روش SWARA، روش BWM و یا روش های دیگر محاسبه شود و به عنوان ورودی به این تکنیک داده شود.
رتبه بندی گزینه ها بر اساس رویکرد سیستم نسبت:
در دومین گام باید گزینه ها را بر اساس رویکرد سیستم نسبت رتبه بندی کرد در این رویکرد بعد از نرمال کردن داده ها باید مجموع معیارهای مثبت را از مجموع معیارهای منفی کم کرد و حاصل بیشتر نشان از برتری گزینه می دهد.

به این ترتیب ماتریس تصمیم نرمال به صورت زیر خواهد بود:

رتبه بندی گزینه ها بر اساس رویکرد نقطه مرجع:
در گام سوم باید گزینه ها را بر اساس رویکرد نقطه مرجع رتبه بندی کرد در این رویکرد نیز هر معیار از مقدار ایده آلش کم می شود در در نهایت ماکزیمم مقدارانتخاب می شود گزینه بهینه گزینه ای است که دارای کمترین مقدار باشد.

روش MOORA روش MOORA روش MOORA روش MOORA
به این ترتیب بهترین گزینه انتخاب میشود.
مثال روش مورا
این مثال از مقاله Attribute Based Specification, Comparison And Selection Of A Robot استخراخ شده است.
فرض کنید ما می خواهیم رباتی را برای برخی از عملیات انتخاب مکان در محل کار انتخاب کنیم. معیاررهای این برنامه به شرح زیر است:
- ظرفیت بار (+)
- تکرارپذیری (-)
- حداکثر سرعت عملکرد (+)
- ظرفیت حافظه (+)
- قدرت دستیابی (+)
بر همین اساس جدولی از قابلیت های هر ربات تهیه شده است که در ادامه آورده شده است و می خواهیم با روش مورا ربات برتر را انتخاب نمایید.
| Attributes | Load capacity | Repeatability | Maximum tip speed | Memory Capacity | Manipulator reach |
| Alternatives | Beneficial | Non-Beneficial | Beneficial | Beneficial | Beneficial |
| A1 | 60 | 0.4 | 2540 | 500 | 990 |
| A2 | 6.35 | 0.15 | 1016 | 3000 | 1041 |
| A3 | 6.8 | 0.1 | 1727.2 | 1500 | 1676 |
| A4 | 10 | 0.2 | 1000 | 2000 | 965 |
| A5 | 2.5 | 0.1 | 560 | 500 | 915 |
| A6 | 4.5 | 0.08 | 1016 | 350 | 508 |
| A7 | 3 | 0.1 | 177 | 1000 | 920 |
| Weights | 0.1574 | 0.1825 | 0.2385 | 0.2172 | 0.2043 |
در این مرحله متغیرها نرمالسازی می شوند
| 3600 | 0.16 | 6451600 | 250000 | 980100 |
| 40.3225 | 0.0225 | 1032256 | 9000000 | 1083681 |
| 46.24 | 0.01 | 2983219.84 | 2250000 | 2808976 |
| 100 | 0.04 | 1000000 | 4000000 | 931225 |
| 6.25 | 0.01 | 313600 | 250000 | 837225 |
| 20.25 | 0.0064 | 1032256 | 122500 | 258064 |
| 9 | 0.01 | 31329 | 1000000 | 846400 |
| 61.82283154 | 0.508822169 | 3583.889066 | 4107.61488 | 2783.104561 |
داده های نرمال سازی شده به صورت مثبت و منفی و با توجه فرمول مورا رتبه بندی می شوند
| Rank | |
| 0.277433826 | 2 |
| 0.265027998 | 3 |
| 0.298733564 | 1 |
| 0.196866153 | 4 |
| 0.10137091 | 7 |
| 0.106173762 | 5 |
| 0.103961825 | 6 |
تصمیم گیری چند معیاره
تصمیمگیری شامل بیان درست اهداف، تعیین راهحلهای مختلف و ممکن، ارزیابی امکانپذیری آنان، ارزیابی عواقب و نتایج ناشی از اجرای هر یک از راهحلها و بالاخره انتخاب و اجرای آن میباشد. کیفیت مدیریت اساساً تابع کیفیت تصمیمگیری است زیرا کیفیت طرح و برنامهها، اثربخشی و کارآمدی راهبردها و کیفیت نتایجی که از اعمال آنها بدست میآید همگی تابع کیفیت تصمیماتی است که مدیر اتخاذ مینماید.
در اکثر موارد تصمیمگیریها وقتی مطلوب و مورد رضایت تصمیمگیرنده است که تصمیمگیری براساس چندین معیار مورد بررسی قرار گرفته باشد. معیارها ممکن است کمی یا کیفی باشند. در روشهای تصمیمگیری چند معیاره که در دهههای اخیر مورد توجه محققین قرار گرفتهاست به جای استفاده از یک معیار سنجش بهینگی از چند معیار سنجش استفاده میشود.
خدمات فرابگیر
- تبلیغات در فضای مجازی گوگل، اینستاگرام و فیس بوک.
- مدیریت صفحات اجتماعی اینستاگرام و فیس بوک.
- برنامه نویسی حرفه ای با جدیدترین متدهای روز دنیا
- طراحی وب سایت و سئو نمودن مطالب با جدیدترین راهکارها برای بازدید حداکثری مطالب
- خدمات طراحی سربرگ؛ کار ویزیت، لوگو و بسته مدیریتی
- پروژهای دانشجویی در زمینه تحقیق در عملیات، آمار و تص
- آموزش مجازی برای کاربران در زمینه های درخواستی دوره های موجود در وب سایت
باعث افتخارست که مجموعه ما تا کنون بیش از ۱۲۰۰۰ پروژه موفق در زمینه های متخلف ارائه نموده است که با مراجعه به بخش نمونه کارها در دسترس شما عزیزان قرار گرفته است. در صورتی که تصور می کنید پروژه مورد نظر شما در این دسته بندی ها قرار ندارد با تماس با تیم حرفه ای ما می توانید از مشاوره رایگان بهره مند گردید.
